Volume 9
Issue 4
Forestry
JOURNAL OF
POLISH
AGRICULTURAL
UNIVERSITIES
Available Online: http://www.ejpau.media.pl/volume9/issue4/art-03.html
THE REGIONALIZATION OF HARVESTING OF NON-WOOD FOREST PRODUCTS IN POLAND
Anna Barszcz
Department of Forest and Wood Utilization,
Agricultural University of Cracow, Poland
 The results of the present research indicate considerable regional importance of the harvesting of non-wood forest products and of the income from their sale for an improvement in the financial situation of households. A significant relation was found to exist between family size (considered with relation to the administrative division of Poland) and the harvesting and sale of forest fruit as well as between unemployment level and the income from the sale of the harvested forest products. No significant relation was found between the harvesting or sale and the forestage of regions. The results received indicate the need to continue the research concerning, among others, the influence of the size of the towns and villages of the families under research on the importance of non-wood forest product harvesting.
Key words: administrative division of Poland, household, unemployment, forestage, non-wood forest products, influence of harvesting on living standards.
INTRODUCTION AND AIM
Situated in central Europe, bordered with the Carpathian and Sudeten mountain ranges in the south and the Baltic Sea in the north, Poland is characterized by large biological diversification, observed mainly in forest areas [1], including the number of species of the undergrowth, many of which have practical value. Particular regions of Poland differ considerably in their forestage. The variability of this characteristic parallels the administrative division of the country into provinces (Fig. 1). Extensive forestage characterizes the following provinces: lubuskie, and then podkarpackie, pomorskie and zachodniopomorskie. The fewest forests are present in the following provinces: ³ódzkie, lubelskie, mazowieckie and kujawsko-pomorskie. The provinces differ also with regard to the unemployment rate. In 2004, when the survey for the present research was conducted, the highest unemployment was noted in the following provinces: warmiñsko-mazurskie, lubuskie and zachodniopomorskie while the lowest rate was observed in the following provinces: ma³opolskie, mazowieckie and podlaskie [5].
Both forestage and unemployment may, besides other features which can be observed in regional distribution, e.g. family size or living standards, influence the significance of non-wood forest product harvesting for an improvement in the economic situation of households. The aim of the present research was to determine the significance and character of the above-mentioned relations with regard to the administrative division of Poland.
MATERIAL AND METHODS
Questionnaires, which were the basis of this research, were filled in during the autumn and winter of 2004/2005. All over the country, 600 questionnaires were distributed and 442 were filled in and returned. A sample questionnaire and the number of replies to each of its 30 questions can be found in an earlier paper [2].
| Fig. 1. Unemployment and forestage in Poland in 2004 against its administrative division | 
![]()  | 
A basic rule adopted was to distribute the questionnaires to those families which have relations with forest and which harvest non-wood forest products. In 85% of the questionnaires the question whether a given family harvests forest products was answered positively.
In accordance with the aim of the present research, all the data analysed were juxtaposed following the administrative division of Poland, which resulted in dividing the material into 16 groups. For these groups, mean values, which were then further analysed, were calculated on the basis of the positive answers given by those households which harvested particular kinds of products or gained income from their sale; the negative or unanswered replies were not considered.
The data collected concerned 2004. The present research, apart from forestage and unemployment level, included: family size (number of persons per household), number of persons who do not earn any income (children under 15 and the unemployed) and number of persons who have a low income (pensioners and old-age pensioners) with relation to family size, amount of fruit harvest (kg/household), the share of the weight of the fruit sold in the weight of fruit harvested, amount of mushroom harvest (kg/household), the share of the weight of the mushrooms sold in the weight of mushrooms harvested, the amount of herb harvest (kg/household), the overall amount of fruit, mushroom and herb harvest (kg/household), the share of the income from the sale of non-wood forest products with relation to the overall family income in the seasonal and yearly scales. The season adopted for the present research was the fruit, mushroom and herb harvesting period, i.e. from 1st June to 31st October.
The last stage of the research consisted in calculating Spearman’s correlation coefficients (p=0.05) for the considered characteristics. Then, for the relations whose significance was confirmed, linear regression equations were elaborated [3].
RESEARCH RESULTS
On average the families under analysis amounted to 4.28 persons and were larger than the national average [2]. The largest number of family members was noted in the following provinces: lubelskie, pomorskie and ma³opolskie while the smallest number was in the following provinces: lubuskie and zachodnio-pomorskie (Fig. 2).
| Fig. 2. The average number of family members in households under analysis | 
![]()  | 
The share of persons with a low or no income (as compared with family size) treated here as an index of their economic situation, showed the highest values (i.e. indicated he poorest families) in the provinces: lubuskie, mazowieckie, podlaskie and zachodnio-pomorskie. The lowest index was noted in the provinces: pomorskie and swiêtokrzyskie (Fig. 3).
| Fig. 3. Economic situation index of households under analysis | 
![]()  | 
Among the provinces with the highest harvest of fruit (kg/household) is, above all, lubelskie and next mazowieckie and dolnoslaskie. Families from other regions showed a similar level of harvesting. The minimum value occurred in wielkopolskie province (Fig. 4).
| Fig. 4. Forest fruit harvest amount | 
![]()  | 
Traditionally, part of the non-wood forest products harvest was for sale. It may be assumed that the financial means obtained in this way allow for improving the economic situation of households with a low financial status because, as was shown earlier [2], the money from the sale is used mainly to buy food. Analysis of Fig. 5 allows for a conclusion that the largest amount of fruit is sold in order to earn an income in the lubelskie province while the smallest number in the wielkopolskie and zachodniopomorskie provinces.
| Fig. 5. Share of mass of fruit sold in mass of fruit harvested | 
![]()  | 
The harvesting of mushrooms, similarly to fruit, shows large differentiation depending on the region. The largest mushroom harvest was noted in households in the podlaskie province; the smallest in the provinces: ³ódzkie, pomorskie and wielkopolskie (Fig. 6).
| Fig. 6. Mushroom harvest amount | 
![]()  | 
The largest share of mushrooms sold with relation to those harvested was noted in the provinces: podlaskie, lubelskie, lubuskie, mazowieckie and ma³opolskie; the smallest share was in the ³ódzkie province (Fig. 7).
| Fig. 7. Share of mass of mushrooms sold in mass of mushrooms harvested | 
![]()  | 
The largest harvest of herbs, evidently larger than in the other regions, occurred in the podkarpackie province and, next, in the swiêtokrzyskie province (Fig. 8).
| Fig. 8. Herb harvest amount | 
![]()  | 
The average joint harvest of fruit, mushrooms and herbs (kg/household) in the year under research showed the highest level in the lubelskie province and, next, in the mazowieckie province, while the lowest level was found in the wielkopolskie province (Fig. 9).
| Fig. 9. Average joint harvest of fruit, mushrooms and herbs in households where harvesting is performed | 
![]()  | 
The households which sold part of their harvest showed (Fig. 10) that, in relation to their overall income in the summer and autumn season (from 1st June to 31st October 2004), the income from the harvest amounted to between 10% (the wielkopolskie and pomorskie provinces) and over 40% (the lubuskie and dolnoslaskie provinces). In the yearly scale, this share (Fig. 11) ranged from about 5% (the pomorskie province) to almost 35% (the lubuskie and dolnoslaskie provinces).
| Fig. 10. Average share of income from non-wood forest product harvest in season as compared with the overall income | 
![]()  | 
| Fig. 11. Average share of income from non-wood forest product harvest during the year as compared with the overall income | 
![]()  | 
Analysis of the relations between the features described above allowed for the calculation of Spearman’s correlation coefficients. On the level 0.05, the relations described below turned out to be significant.
A very important characteristic, strongly related to the aim of the present research, is showing the influence of the unemployment rate in particular regions on the share of the income from non-wood forest product sale both in season (correlation coefficient on a high level = 0.676) and during the whole year (correlation coefficient = 0.592). These dependencies were described by means of linear regression equations and presented in Figures 12 and 13 below.
| Fig. 12. Influence of unemployment rate on share of income from non-wood forest product sale in seasonal income of households (according to regions) | 
![]()  | 
| Fig. 13. Influence of unemployment rate on share of income from non-wood forest product sale in yearly income of households (according to regions) | 
![]()  | 
The share of income from non-wood forest product sale in season, i.e. in summer and autumn 2004, in overall family income was significantly influenced by the size of mushroom harvest (a high correlation coefficient = 0.626, Fig. 14).
| Fig. 14. Influence of mushroom harvest on share of income from non-wood forest product sale in season in relation to overall income | 
![]()  | 
A strong relation (a high correlation coefficient = 0.594) was found between non-wood forest product harvest (fruit, mushrooms and herbs jointly) and the mushroom harvest size for sale (Fig. 15). In the case of forest fruit and herbs this relation turned out to be statistically insignificant.
| Fig. 15. Relation between non-wood forest product harvest amount and the mushroom harvest size sold in the mass harvested | 
![]()  | 
The larger the family, the more fruit they harvested (a very high correlation coefficient = 0.744, Fig. 16). Along with an increasing family size, the share of mass of fruit sold with relation to the mass harvested increased too (a high correlation coefficient = 0.647, Fig. 17). Family size did not influence in a statistically significant way the size of mushroom, herb and forest product harvest considered jointly (in the latter two cases, the correlation coefficients are high but not significant on the level 0.05).
| Fig. 16. Relation between family size and fruit harvest size | 
![]()  | 
| Fig. 17. Relation between family size and share of mass of fruit sold in mass harvested | 
![]()  | 
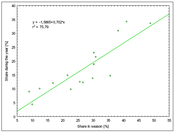
Another relation, however largely obvious, between the share of the income from forest products in season and yearly in the overall income of families, turned out to be very high (correlation coefficient = 0.903, Fig.18). It must be noted that the strength of the relation was additionally influenced by forest products harvested and sold also out of summer and autumn season, i.e. by fuel and decorative branches [2].
| Fig. 18. Relation between the share of the income from forest products sale in the overall income of families – in season and yearly | 
![]()  | 
The present research did not show significant relations between the forestage of provinces as well as between the index of the economic status of households and any of the analysed characteristics concerning forest product harvesting or the amount of income from their sale. Some of the coefficients calculated in the course of these analyses indicated a positive correlation and the strength of the relation on an average level, e.g. forestage with the number of mushrooms harvested or with the share of the income from forest products in the overall income in season, as well as the index of the economic status of households with characteristics related to forest product harvesting. However, on the level 0.05, none of these factors was significant.
DISCUSSION
Among the notable issues analysed here, an important and controversial fact is a lack of relations confirmed by significant correlation coefficients between average forestage and all features considered according to provinces and referring to harvesting or to family income from forest products.
In provinces with low forestage, i.e. mazowieckie and especially lubelskie, the present research and other studies all show a large fruit harvest. Especially the lubelskie province is, despite its forestage of only 22%, a kind of Polish ‘fruit factory’, supplying bilberry, cowberry, cranberry and recently also the fruit of elder and of dog rose [4, 6, 7]. The data given in the present research differ from the quoted sources in the case of the provinces: zachodniopomorskie, pomorskie and podlaskie where, despite their high forestage, families harvested little fruit, and in the case of the provinces: pomorskie, wielkopolskie and lubuskie, where only a small number of mushrooms was collected.
Only in some provinces a relation was noted between high forestage and a large harvest, which was confirmed by other sources. For instance, in the zachodniopomorskie and podlaskie provinces, both with relatively high forestage, a large harvest of mushrooms was noted, which is confirmed by data in G³owacki [4] and in the Central Statistical Office [6], and in the dolnoœl¹skie province there was a large harvest of fruit, which is confirmed by Muszyñski [7].
The present study did not analyse the material in the aspect of the size of home towns and villages of the families under research as this will be the subject of another study. However, considering Czech research [9, 10], where a decrease in the frequency of visits to forest was shown to parallel an increase in the number of inhabitants of a town or village, a preliminary attempt was made at explaining a lack of relation between forest product harvesting and region forestage in the aspect of the size of towns and villages. This preliminary analysis allows for suggesting that, especially in two provinces with low forestage, namely lubelskie and ma³opolskie, a large number of households under research in very small villages (under 500 inhabitants), where – by analogy to Czech research – more frequent visits to forest may be expected, is clearly related to large harvest of forest products. Probably it is in small villages that the households under research had more members, which was positively correlated with the amount of fruit harvested and the share of the mass of fruit sold.
Another variable which constituted the background of the comparisons was unemployment rate which, when considered regionally, showed a positive correlation with the share of the income from forest products in the overall family income (both seasonal and yearly). The question of the significance of forest product harvesting in areas with large unemployment was addressed by Saastamoinen [8], who quoted research by Kajal (1997), Loikkanen (1997) and Rantal (1997) carried out in northern and eastern Finland. As unemployment rate is falling in Poland [6], it would be advisable to repeat this research in several years’ time in order to determine whether the interest on forest product harvesting as a means of poverty alleviation is decreasing or whether local traditions and relations to the forest turn out to be stronger.
In the light of the present research, it is striking that there is no significant correlation between the share of family members with a low income (pensioners and old-age pensioners) or those with no income (the unemployed and children under 15) and harvest size, share of sale and income earned. It had been observed earlier [2] that the families who asses their living standards as very low consider the opportunity to harvest non-wood forest products to be very important and to help improve their income. However, the poorest families did not harvest large amounts of forest products. Apart from the factors mentioned in the published first part of this research (such as health condition or old age), such a result might have been due to undertaking by the unemployed family members unofficial jobs on the black market.
The issues addressed in this part of the study indicate the complexity of the subject under research. The questions of the influence of non-wood forest product harvesting on the living standards of families should focus the public attention on the underestimated and unrecognized, although traditional for centuries, function of the forest, which is supplying the fruit of the undergrowth.
SUMMING UP AND CONCLUSIONS
Against the background of the administrative division of Poland into 16 provinces, with relation to forestage and unemployment rate, the present study presents the level of non-wood forest product harvesting and the level of the income from their sale. In households under analysis, the largest harvest of fruit was noted in the provinces: lubelskie and mazowieckie, of mushrooms in the podlaskie province and of herbs in the podkarpackie province. The joint harvest of all of these products was the highest in the lubelskie province.
In order to earn income, part of the harvest was sold. The highest share of the mass sold as compared with the mass harvested was observed for fruit in the lubelskie province and for mushrooms in some provinces in eastern Poland and in the lubuskie province. The maximum share of the income from forest products in the overall family income in season was noted in the lubuskie and wielkopolskie provinces (over 40%). This share in the yearly income was the highest in the lubuskie and dolnosl¹skie provinces (nearly 35%).
Among the most important relations, confirmed by statistical tests, is a high, positive correlation between unemployment rate in the regions and the share of the income from forest products sale in the overall family income in season and yearly. It is also worth noting that there is a positive correlation indicating a very strong dependency between family size and fruit harvest size as well as a strong dependency between family size and the share of fruit sold in the mass harvested.
The results of the present research reveal a large, though regionally differentiated, significance of non-wood forest product harvesting for poverty alleviation, especially in areas with increased unemployment and in families consisting of many members.
REFERENCES
 Andrzejewski R., Weigle W. 1993. Polskie studium ró¿norodnoœci biologicznej. [A Polish study of biological variety]. NFOS, Warszawa [in Polish]. Barszcz A. 2006. The influence of harvesting of non-wood forest products on the economic situation of households in Poland. EJPAU, Ser. Forestry, 9, 2 [in English]. Bruchwald A. 1997. Statystyka matematyczna dla lesników. [Mathematical statistics for foresters]. Wyd. SGGW-AR, Warszawa [in Polish]. G³owacki S. 2006. Znaczenie gospodarcze i rekreacyjne dolnych warstw lasu. [Economic and recreational significance of lower layers of forest]. Lesne Prace Badawcze, 3, p. 99-114 [in Polish]. http://www.stat.gov.pl/dane_spol-gosp/praca_ludnos/index.ht from 20.07.2006. Lesnictwo [Forestry]. 2005. GUS, ZWS, Warszawa [in Polish]. Muszyñski Z. 1973. Surowce g³ównego i ubocznego u¿ytkowania lasu. [Main and side-products of forest utilization]. Wyd. AR Kraków [in Polish]. Saastamoinen O. 1997. Multiple views on multiple uses of forests. In: Finnish forests. ed. Opas. L. L., Univ. of Joensuu, Finland, p. 109-124 [in English]. Sisak L., Pulkrab K., Kalivoda V. 1997. Význam návstĕvnosti lesa a sbĕru hlavních lesních plodin obyvatelí území s lesy výraznĕ postizenými imisemi. [Importance of forest frequentation and of main non-wood forest product collection by inhabitants in regions with forests considerably afflicted by immissions]. Lesnictvi-Forestry, 43, 6, p. 245-258 [in Czech]. Sisak L. 2000. Importance of the main non-timber forest products in the Czech Republic in 1998. J. For. Sci., 46, 7, p. 331-339 [in English].
ACKNOWLEDGEMENTS
Financial support by the Academy of Finland (project 104940) is gratefully acknowledged.
Accepted for print: 09.10.2006
Anna Barszcz
Department of Forest and Wood Utilization,
Agricultural University of Cracow, Poland
Al. 29 Listopada 46, 31-425 Cracow, Poland
Phone: +48 12 662 50 85
email: rlbarszc@cyf-kr.edu.pl
Responses to this article, comments are invited and should be submitted within three months of the publication of the article. If accepted for publication, they will be published in the chapter headed 'Discussions' and hyperlinked to the article.

















