Electronic Journal of Polish Agricultural Universities (EJPAU) founded by all Polish Agriculture Universities presents original papers and review articles relevant to all aspects of agricultural sciences. It is target for persons working both in science and industry,regulatory agencies or teaching in agricultural sector. Covered by IFIS Publishing (Food Science and Technology Abstracts), ELSEVIER Science - Food Science and Technology Program, CAS USA (Chemical Abstracts), CABI Publishing UK and ALPSP (Association of Learned and Professional Society Publisher - full membership). Presented in the Master List of Thomson ISI.
2017
Volume 20
Issue 2
Topic:
Food Science and Technology
ELECTRONIC
JOURNAL OF
POLISH
AGRICULTURAL
UNIVERSITIES
Gramza-Michałowska A. , Kulczyński B. , Jankowiak J. , Grdeń M. 2017. COMMODITY FEATURE AND ANTIRADICAL CAPACITY OF Pu Erh TEA LEAVES AVAILABLE ON POLISH MARKET
DOI:10.30825/5.ejpau.25.2017.20.2, EJPAU 20(2), #02.
Available Online: http://www.ejpau.media.pl/volume20/issue2/art-02.html

COMMODITY FEATURE AND ANTIRADICAL CAPACITY OF PU ERH TEA LEAVES AVAILABLE ON POLISH MARKET
DOI:10.30825/5.EJPAU.25.2017.20.2

Anna Gramza-Michałowska, Bartosz Kulczyński, Joanna Jankowiak, Marzena Grdeń
Department of Food Service and Catering, Faculty of Food Science and Nutrition, Poznań University of Life Sciences, Poland

 

ABSTRACT

In recent years an increased interest in healthy lifestyle caused that other types of tea, e.g. Pu Erh, are also increasingly selected by the consumers. Currently, Pu Erh tea is considered to promote weight loss, as well as support the treatment of numerous diseases, by neutralizing free radicals activity in the human body. Present research aimed at the evaluation of antiradical capacity of Pu Erh tea leaves available on the Polish market. The research was conducted on seven Pu Erh teas produced according to the accelerated ripening method (wo dui), supplied by Polish dealers. Pu Erh tea was subjected to traditional brewing methods, followed by DPPH and ABTS radical reducing activity assays. Tea leaves and its brews were also characterized according to the commodity value. The antiradical capacity of Pu Erh tea leaves showed that examined teas exhibited antiradical properties, however in a varied degree, not conditioned by the type of tea and brewing time. The quality of tea had no significant effect on the ability to reduce the DPPH and ABTS radicals, whereas it affected the extraction process efficiency. Pu Erh tea may be a dietary source of antioxidants, helping with the treatment of diseases caused by free radicals activity, such as diabetes or coronary heart disease.

Key words: Pu Erh, tea, Camellia sinensis, antiradical activity, DPPH, ABTS.

INTRODUCTION

Tea (Camellia sinensis,  family: Theaceae) is the most popular beverage all over the world, however green and black tea leaves are mostly used to prepare the beverage. Numerous health benefits of tea leaves beverage consumption are the results of antioxidants presence, e.g. catechins: epigallocatechin-3-gallate (EGCG), epigallocatechin (EGC), epicatechin (EC), and catechin (C), as well as L-theanine or an alkaloid – caffeine [6, 7, 18, 20, 32, 41]. The healthy effect of tea on the human body is mainly attributed to the increase in the blood antioxidant capacity by polyphenols, which protect cells and tissues from the damaging effects of oxidation, exhibiting anticancer, antimicrobial, and antidiabetic activity, and having many more health benefits [12, 16, 19, 23, 24, 28, 35, 42]. The growing interest in tea leaves application as ingredients for functional foods design was also highlighted [15, 22, 37].

In recent years an increased interest in healthy lifestyle caused that other types of tea, like Pu Erh, are selected by the consumers. Currently, Pu Erh tea (Camellia sinensis var. assamica (L.)), is considered one of the most widely known to promote the weight loss [30, 52]. Many consumers reaches for Pu Erh tea due to health benefits, that are associated with the reactive oxygen species (ROS) inactivation, e.g. supporting the treatment of nervous system diseases, and lowering levels of LDL cholesterol, while increasing the HDL cholesterol level [26, 30, 34, 38, 50].

Pu Erh tea is partially fermented tea harvested from ca. 2000 years in Yunnan province (China), and was initially designated for the emperor. Its production uses a large, succulent, wide leaves of Camellia sinensis var. assamica collected from Qingmao trees (royal trees) [49]. Manufacturing of Pu Erh tea is long-term and very specific. Harvested leaves are left for 3–12 hour wilting, to become soft and more susceptible to rolling. Prior to pressing the juices leaves are subjected for rolling, and then for fermentation process which demands proper ventilation, low humidity, high temperature and oxygen presence. Afterwards fermented leaves are dried in hot air [2, 13]. Fermentation leads to a reduction of tannin content, as well as the release of caffeine and the production of essential oils forming the flavor of produced tea [45]. In the traditional manufacturing technology of Pu Erh the leaves are deposited in the special shaded conditions, with strictly defined parameters of air humidity and temperature. Pu Erh tea maturation stage lasts for several or even dozens of years, before it is considered the most precious and hard to get on the market [33]. Increasing demand for Pu Erh tea has created a new technology called wo dui (wo – wet, dui – heap), involving bacterial and fungal fermentation in a controlled warm and humid conditions. Pu Erh tea fermentation dominating microbiota is Aspergillus niger, Aspergillus gloucu, and species of Penicillium, Rhizopus, Saccharomyces, and Bacterium [7, 26]. Tea leaves are moistened with water and stored in mounds covered with sheets for about two months. Afterwards the leaves are stored for the next two years in a warehouse. As a result Pu Erh tea properties and quality is considered as similar to that produced the traditional way. Wo dui method shortens the natural fermentation process of 10 to 20 years to few days, thereby meeting the needs of the customers. The process of Pu Erh re-fermentation gives the tea a characteristic earthy flavor and aroma, as a consequence of new compounds formation [8]. In the final stage of production, the leaves are sorted and cut or pressed, and then packed to protect Pu Erh tea against deterioration, undesirable molding and the loss of flavor.

In China Pu Erh tea is subdivided by its quality into eleven classes. The most valuable is considered a "palace" or "imperial" tea, sourced from the leaves of the Tougai trees (the first collection) and the spring shoots of Qingmao trees. First class tea comes from the younger of Tougai trees, considered as precious when leaves are small, uniform, and free from impurities. In this case, finer leaves are considered superior and more powerful in their activity. As a result, tea leaves are brewed faster, giving the brew unique earthy aroma [49]. The commercially available Pu Erh teas exist as a number of varieties, depending on to what shape it was compacted, e.g. Bĭngchá (cookie shape), Tuóchá (bowl shape), Zhuānchá (cube shape), Fāngchá (rectangle shape), Jĭnchá (melon shape). The process of leaves pressing facilitates its transport and secures from spoilage. Despite the improvement of transport conditions the procedure of leaves pressing is still used and is distinctive for Pu Erh teas.

Apart from the compressed forms of Pu Erh tea it is also sold in a loose form, the most commonly occurring in world trade due to the convenience in use. Pressed tea leaves are less accessible on the European market due to its price. The quality and authenticity of Pu Erh tea origin represents the manufacturer label pressed into the leaves, giving a guarantee that the dealer did not underestimate the quality by adding worse quality leaves. Pressed Pu Erh tea leaves should be heterogeneous in color, with visible young, golden leaves. The shape that was given during the compression should be regular, and while breaking off the tea leaves should delaminate in patches and not to crumble, which may indicate their lower quality.

Living organisms suffer from naturally occurring oxidative damage as the result of prolonged and constant reactive oxygen, and free radicals exposure. Tea leaves are the source of many antioxidative substances among which the catechins are the most powerful [4, 17, 29]. Present research aimed at the evaluation of antiradical capacity of the infusions of Pu Erh tea leaves available on the Polish market.

MATERIAL AND METHODS

Chemicals and reagents
DPPH (1,1-diphenyl-2-picrylhydrazyl radical), ABTS ((2,2′-Azino-bis(3-ethylbenzothiazoline-6-sulfonic acid) diammonium salt), Trolox ((±)-6-hydroxy-2,5,7,8-tetramethylchromane-2-carboxylic acid) purchased by Sigma-Aldrich, Germany. Methanol, potassium persulfate (K2S2O8) and other chemicals were of analytical grade.

Materials
The subject of the research was seven Pu Erh tea leaves purchased in Wielkopolska region, six of them were loose tea leaves, one of which comes from organic plantations, while one was pressed tea (Pu Erh Brick). Examined teas were produced according to the accelerated ripening method (wo dui), than collected and encoded as followed: O (Pu Erh Superior Organic loose leaf), A (Pu Erh Yunnan loose leaf), B (Pu Erh Brick), C (Pu Erh loose leaf), D (Pu Erh loose leaf), E (Pu Erh loose leaf), F (Pu Erh loose leaf ). Samples A, C-F differed within the supplier, however all originated from Yunnan province in China.

Pu Erh tea leaves and its infusions were subject to a commodity assessment according to local standards of Yunnan Province [14]. Pu Erh teas differed within the quality. First one Pu Erh Superior Organic, was declared by the manufacturer as similar to tea matured for 10 years. Second tea: Pu Erh Yunnan, was declared by the manufacturer as similar to tea matured for 7 years. Pu Erh Brick tea (brick shape pressed tea leaves), as well as other four teas had no manufacturers information concerning tea maturity.

Tea infusions preparation
Pu Erh tea infusions were prepared according to a modified procedure by Gramza-Michałowska et al. [16], and were designed to simulate the recommended preparation method. Grinded tea leaves (2.0 g) were boiled with 200 mL of double distilled water (ddH2O), followed by stirring in parallel for 5 and 10 minutes at 90°C. Collected infusions were centrifuged (2700 x g, 5 min) prior to filtration, cooled and subjected for further analysis. The dry matter of Pu Erh tea infusions samples was determined by drying at 103±2°C until the constant weight is reached [25].

Antiradical activity
Tea leaves infusions antiradical capacity was evaluated using DPPH and ABTS radicals reducing assays.

DPPH radical reducing assay was estimated according to the procedure described by Brand-Wiliams et al. [3]. The assay is based on the evaluation of DPPH radical reduction by tea infusions components. 100 µl of tea infusion sample was added into a 2 ml 80% methanol and 250 µl of DPPH reagent prepared daily (6×10-5 mol/L of methanol DPPH• solution). Solution was mixed, placed in a glass cuvette, and after 20 minutes of reaction the absorbance at λ=517 nm was measured. Simultaneously the control sample, excluding the tea infusions, was also measured. DPPH scavenging effect was calculated as percentage of inhibition using the formula:

% Inhibition = [(Abl – Asp)/Abl] x 100

where:

Abl – the absorption of blank (DPPH solution);
Asp – the absorption of sample solution.

Results show that faster sample absorbance decrease corresponds to stronger radicals reducing ability of analysed substance. Results of antiradical capacity were expressed as mg of Trolox per 200 ml of the infusion, based on the standard curve for Trolox (y=83.8x, R2=0.9718)

ABTS radical reducing activity of infusions was measured according to the assay described by Re et al. [40]. Evaluation based on the antioxidant ability to reduce the blue-green colored ABTS radical-cation in comparison to water soluble vitamin E analogue – Trolox. 3 ml of ABTS•+ solution was added to 30 μl of examined infusions, mixed and after 6 minutes the absorbance was measured (λ=734 nm). Prior to analysis potassium persulfate (K2S2O8) was used to generate ABTS•+ solutions, than it was diluted with 80% methanol to an absorbance of 0.700. Antiradical capacity of the infusions was calculated using the same equation as in DPPH method. ABTS cation-radical scavenging effect was calculated as percentage of inhibition using the formula:

% Inhibition = [(Abl – Asp)/Abl] x 100

where:

Abl – the absorption of blank (ABTS solution);
Asp – the absorption of sample solution.

On the basis of standard curve for Trolox (y=182.97x, R2=0.9976) the results were expressed as mg of Trolox per 200 ml of the infusion. The results of DPPH and ABTS assay were presented in conversion to 200 ml to show the activity in relation to a standard cup of consumed tea infusion.

Statistical analysis
Data representing mean values of six independent experiments, averaged, and were analyzed using one-way analysis of variance (ANOVA) to determine the samples values differences, and Tukey’s multiple-range test (p<0.05). All statistical analysis were processed by Statistica software version 11 (StatSoft).

RESULTS AND DISCUSSION

Increased interest in healthy lifestyle and health properties of food and drinks caused that Pu Erh tea is desired by the consumers all over the world. Initially the price of Pu Erh tea was significantly higher, however the application of wo dui method allowed to produce cheaper tea with similar features as the 10 or 20 years old Pu Erh tea leaves. Cheapening of Pu Erh tea production causes that the leaves used for the manufacture could be of lesser quality or the process itself is not controlled to such a degree in order not to have a negative effect on the final product’s quality. Taste and aroma of Pu Erh tea loose or pressed leaves is very specific and therefore consumers frequently do not accept its fungal and earthy aroma [13]. In order to reduce the flavor, manufacturers add some citrus peels, cardamom, clove or anise therefore increasing the sensory values of the beverage.

Present research included tea leaves and brewing’s commodity value assessment according to local standards of Yunnan Province. Sensorial analysis of Pu Erh dry leaves confirms it’s good quality (Tab. 1). Appearance, colour and leaves cleanness showed no features, that would disqualify them as a consumer product. One directly perceptible deviation of quality was impurity caused by the presence of stalks and tea bushes particles, which however had a negligible effect on the quality of the brew (Tab. 2).

Table 1. Pu Erh tea leaves appearance
Tea leaves code
Quality descriptors
neuration
uniformity
color
cleanness
gradation
O
dense and thin
uniform
brown
homogeneous
„extra”
A
dense
uniform
brown
homogeneous
I
B
dense
uniform
brown
homogeneous
I
C
dense
nearly uniform
red-brown
heterogeneous with stalks
V
D
dense
nearly uniform
red-brown
heterogeneous with stalks
V
E
thick and strong
patchy
red-brown
heterogeneous with many stalks
IX
F
thick and thin
uniform
brown
homogeneous
I
Based on: Local Standards of Yunnan Province: Pu’er Tea [14]
Samples abbreviations: O (Pu Erh Superior Organic loose leaf), A (Pu Erh Yunnan loose leaf), B (Pu Erh Brick), C (Pu Erh loose leaf), D (Pu Erh loose leaf), E (Pu Erh loose leaf), F (Pu Erh loose leaf )

Table 2. Pu Erh tea infusion quality
Tea leaves code
Quality descriptors
aroma
taste
infusion’s colour
infused leaves appearance
gradation
O
lasting and strong
intense, velvety, sweet
red and light
red-brown, mild
„Extra”
A
slightly lasting
intense, velvety, sweet
red, intense, light
red-brown, mild
I
B
slightly lasting
velvety, sweet, heavy
red, intense, less light
red-brown, more mild
III
C
clean and lasting
velvety, sweet
brown-red, low intensity
red-brown, less mild
V
D
clean and lasting
velvety, characteristic, less sweet
brown-red, low intensity
red-brown, less mild
V
E
clean and lasting
velvety, characteristic, less sweet
brown-red, low intensity
red-brown, slightly thicker
VII
F
lasting and strong
intense, velvety, sweet
red and light
red-brown, mild
„Extra”
Based on: Local Standards of Yunnan Province: Pu’er Tea [14]
Samples abbreviations: O (Pu Erh Superior Organic loose leaf), A (Pu Erh Yunnan loose leaf), B (Pu Erh Brick), C (Pu Erh loose leaf), D (Pu Erh loose leaf), E (Pu Erh loose leaf), F (Pu Erh loose leaf )

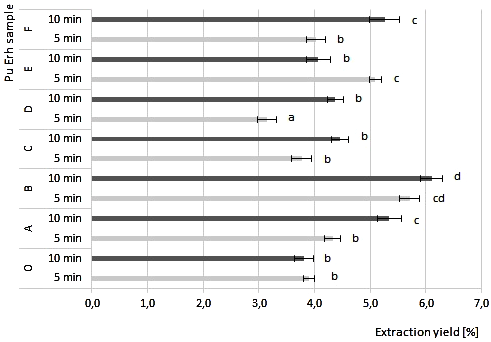
Rate of extraction yield of examined Pu Erh teas varied from 3.1 to 6.1%, and was ranked from the highest to the lowest in the following order: B > A > E = F > C > O = D. The yield of 5 minutes extraction was approximately 11% lower than of 10 minutes process (Fig. 1). Results showed that there was no correlation between the leaves grade and extraction yield in samples extracted for 5 minutes, however 10 minutes extraction showed that the yield did correspond with leaves quality grade.

Fig. 1. Rate of extraction yield in Pu Erh tea aqueous infusions [%], a–d – mean values with different letters differ statistically (p = 0.05)

Jeng et al. studied the changes in the active compounds concentration of the 20-year and 25-year-old fermented Pu Erh tea leaves samples [26]. They have isolated the strains of bacteria and fungi responsible for the fermentation, therefore proving the beneficial effect on the content of bioactive components. Despite popular opinion about the increase in the content of biologically active compounds with duration of aging, there is also an evidence that, its content was higher in the samples fermented for 180 days than for 25 years [26].

Activity of polyphenol oxidase and mono-phenolic monooxygenase during the fermentation leads to catechin condensation into theaflavins, which are shaping the color of tea brew [7]. Afterwards theaflavins are polymerized and forming various molecular weight thearubigins. Another products of tea leaves polyphenols oxidation are tannins, responsible for an adequate flavor and strength of the brew. This group includes polyphenols of a molecular weight of 500–3000 Da, soluble in water and having the ability to precipitate proteins, alkaloids, nucleic acids, and certain polysaccharides from aqueous solutions. Tannins are responsible for the bitter taste and astringency of tea associated with their ability to form complexes with proteins. It is a result of tannins interaction with proline present in the saliva, mucous membranes and taste receptors [47].

Catechins found in the highest concentration in Pu Erh tea are mainly epicatechin (EC) and catechin gallate (CG). According to Tanaka and coworkers high-content of catechin gallate results from the biotransformation of epigallocatechin gallate (EGCG), epicatechin gallate (ECG) to catechin gallate (CG) during the fermentation process [43]. During the secondary fermentation Pu Erh reaches to the formation of compounds such as theaflavin, thearubigin or theobromine. On the other hand catechin content can be reduced, promoted by the high temperatures and humidity [31]. High content of gallic acid is also attributed to the activity of micro-organisms associated with fermentation, promoting the gallic acid formation by the tannins hydrolysis [36]. They account for approx. 16–25% of tea dry mass, undergo transformations during processing, including the reaction with polyphenols and sugars, so that they co-create the color, flavor and aroma of tea brew.

Catechins are strong antiradical agents, acting in the presence of free radicals in human organism, therefore preventing many diseases like cardiovascular, diabetes or potentially cancer [9, 21, 27, 44, 53].

Antiradical activity of Pu Erh tea components was presented as the activity equivalent to Trolox, a hydrophilic analogue of vitamin E (Fig. 2). The results of DPPH radical reducing activity of Pu Erh tea brewed for 5 minutes showed that samples of loose tea B (202.6 mg Trolox/200 ml) and C (203.1 mg Trolox/200 ml) exhibited the highest activity, showing 4% higher values than other samples, excluding 13% lower activity sample F (177.7 mg Trolox/200 ml). 10 minutes prolongation of brewing reduced the differences between samples, resulting similar activity of samples O, C and D (respectively 197.2, 199.1 and 194.5 mg Trolox/200 ml). Significantly lower activity was evaluated in the F sample (182.1 mg Trolox/200 ml), which was 9% weaker radical reducer than other samples. The results are therefore higher in relation to those obtained in the study conducted by Fik and Zawiślak in which two Pu Erh samples demonstrated DPPH reducing ability at the level of 67.1 and 67.5% [11].

Fig. 2. DPPH radical reducing capacity of Pu Erh tea samples extracted for 5 and 10 minutes [mg Trolox/200 ml]
Mean values within the brewing time with different small letters differ statistically (p ≤ 0.05); mean values within different brewing time with different capital letters differ statistically (p ≤ 0.05). Results are presented as a mean value ± standard deviation

The influence of Pu Erh tea leaves brewing time on DPPH radical reducing assay varied (Fig. 2). It was demonstrated that all infusions exhibited approximately 3–4% lower activity as brewed for 5 minutes longer, however the O, D and F samples activity was 3% higher in comparison to 5 minutes procedure. No influence of Pu Erh tea sample grade brewed for 5 and 10 minutes on DPPH radical reducing activity was found (0.16, p < 0.05).

Antiradical capacity of Pu Erh samples in presence of ABTS cation-radical was different than of DPPH assay. Results presented in Figure 3 showed, that ABTS cation-radical reducing activity of 200 ml Pu Erh tea varied. Tea leaves brewed for 5 minutes resulted in highest reducing activity of loose tea B (146.3 mg Trolox/200 ml), 22% higher than sample C (113.3 mg Trolox/200 ml) and F (107.4 mg Trolox/200 ml), and 52% higher than lowest activity samples: D (72.9 mg Trolox/200 ml) and E (63.3 mg Trolox/200 ml). Brewing prolongation for 10 minutes resulted in all samples activity increase, excluding sample A, where the activity decreased for 42% in comparison to 5 minutes brewing. Highest ABTS cation-radical reducing activity of samples brewed for 10 minutes was evaluated in sample B (272.3 mg Trolox/200 ml) and F (163.8 mg Trolox/200 ml). Significantly lower activity was evaluated in sample A (70.2 mg Trolox/200 ml). Statistical analysis revealed the differences in ABTS cation-radical reducing activity of samples extracted for 5 and 10 minutes. The samples of examined teas varied with reducing capacity, showing no correlation between extraction procedure time and reducing capacity (0.23, p < 0.05).

Fig. 3. ABTS cation-radical reducing activity of Pu Erh tea extracted for 5 and 10 minutes [mg Trolox/200 ml]
Mean values within the brewing time with different small letters differ statistically (p ≤ 0.05); mean values within different brewing time with different capital letters differ statistically (p ≤ 0.05). Results are presented as a mean value ± standard deviation

Socha et al. [41] investigated DPPH radical reducing activity of tea and showed significantly higher values for unfermented, compared to the fermented teas infusions. For white tea it was 1.14–4.47 (mM Trolox/1 L), however 5 minutes elongation of brewing time resulted in a higher reducing activity, slightly limited with process elongation. In case of fermented tea brewed for 5 minutes it was evaluated as 2.22–5.67 (mM Trolox/1 L), however further prolongation of brewing time did not influence its DPPH radical reducing activity. Results of Jeng et al. [26] showed that superoxide scavenging activity did not differ greatly due to either strains or fermentation period, however the DPPH radicals reducing capacity increased 4-fold with the duration of fermentation. Other research showed excellent DPPH radical reducing activity of Pu Erh tea ethanolic infusions [10].

The ability to reduce ABTS cation-radical in studies conducted by Waszkiewicz-Robak et al. [46] was 0.58 mM Trolox/1 g of dry leaves. It was evaluated, that green teas exhibited similar ABTS cation-radical reducing activity as 10 fold higher concentration of black tea and 13 fold higher concentration of red tea. Also Plust et al. [39] evaluated activity of white teas and found it on the level of 0.5 mM Trolox/1 g of dry leaves. In contrast, the research of Wołosiak et al. [48] characterized green tea by a lower reduction capability of ABTS cation-radical (0.5 mM Trolox/100 ml).

The ability to scavenge the DPPH radical is measured at the wavelength closer to the visible than the ABTS cation-radical, which could contribute to the underestimation of components antioxidant activity, also because of the interferences presence. Applied antioxidative activity assays differ with the manner of free radicals generation or accompanying conditions, making them suitable for simple and non-complex products [28]. Results of Górnaś et al. [18] indicated that a more complex sample composition makes extracts less predictable in different antioxidant systems, underlining the specific molecular mechanisms involved during antioxidant capacity measurement of each assay.

Fernando and Soysa examined the influence of brewing time on the extraction rate of tea leafs active components [13]. Results showed that catechins, gallic acid and caffeine were released within a very short period of brewing process. The maximum point was achieved at 6–8 min, and optimum at 2–8 min, which was significantly correlated with the antioxidant activity of examined tea. The release of compounds from tea leaves depends on the amount present and their solubility in water. Caffeine is soluble in polar and non-polar solvents and is release is slow, also polyphenolic substances present in tea leaves having different solubility could be released slowly with time. Noteworthy is the possibility of caffeine complexation with polyphenols forming insoluble complexes, influencing their antioxidant activity. The same authors suggested that the antioxidant activity of gallic acid and epicatechin was high, but their contribution to scavenge free radicals was low when compared with EGCG and phenols. Results of Khokhar and Magnusdotir confirmed that brewing conditions such as time and temperature are critical factors for extraction of catechins or theaflavins from teas [33]. It is proved that prolonged extraction time at high temperature leads to degradation of tea bioactive components due to partial epimerization of EGCG and ECG into GCG and CG, which could affect its antioxidant activity [4]. Another factors like tea leaves storage condition (humidity, insolation and temperature) affect the quality and stability of tea catechins [3].

The differences in the antiradical capacity assays due to application of various tea leaves containing different polyphenolic compounds, and the occurring interactions, as well as applied methodologies of the assays. Results are difficult to compare since there is no reference method on the antiradical activity evaluation.

The study demonstrated that Pu Erh tea infusions possess antioxidant properties in presence of free radicals. It was observed that both the grade of tea and brewing time did not affect the antiradical properties significantly. This causes the conclusion, that the antiradical activity is not determined by the leaves quality, e.g. as an expensive Pu Erh tea superior quality, or a high grade leaves, but less expensive. Pu Erh tea available on the Polish market demonstrated similar quality to the quality declared on the label. No significant variations in the quality of both dried tea leaves and infusions were found. Additional fermentation process gives rise to a specific Pu Erh tea aroma, beneficial bioactive compounds content, which consumption exhibits pro-health influence demonstrated in many studies [1]. To summarize the above considerations, it can be stated that Pu Erh tea may be a source of antioxidants in the diet, helping not only to lose weight, but also the treatment of diseases caused by free radicals activity, such as diabetes, nervous system diseases or coronary heart disease [5, 50, 51].

CONCLUSIONS

  1. Pu Erh tea infusions showed high, however diverse antiradical properties, which have not been conditioned by the type of tea and the brewing time.
  2. The quality of tea had no significant effect on the ability to reduce DPPH and ABTS radicals, whereas the quality of the leaves affected the extraction process efficiency.
  3. Extended brewing time affected negatively the results of the DPPH radical reducing ability, however the ability to reduce the ABTS cation-radicals was positively affected..

REFERENCES

  1. Ahmed S., Steppy J.R., 2013. Pu-erh Tea: Botany, Production, and Chemistry, in Tea in Health and Disease Prevention, Preedy V.R. (Ed)., Elsevier Inc., 59–71. doi: 10.1016/B978-0-12-384937-3.00005-7
  2. Ahmed S., Unachukwu U., Stepp J.R., Peters C.M., Long C., Kennelly E., 2010. Pu-erh tea tasting in Yunnan, China: correlation of drinkers’ perceptions to phytochemistry. Journal of Ethnopharmacology, 132, 176–185. doi: http://dx.doi.org/10.1016/j.jep.2010.08.016
  3. Ananingsih V., Sharma A., Zhou W., 2013. Green tea catechins during food processing and storage: a review on stability and detection. Food Research International, 50(2), 469–479. doi: http://dx.doi.org/10.1016/j.foodres.2011.03.004
  4. Banerjee S., Chatterjee J., 2015. Efficient extraction strategies of tea (Camellia sinensis) biomolecules. Journal of Food Science and Technology, 52(6), 3158–3168. doi: http://dx.doi.org/10.1007/s13197-014-1487-3
  5. Brand-Williams W., Cuvelier M.E., Berset C., 1995. Use of a free radical method to evaluate antioxidant activity. Lebensmittel-Wissenschaft & Technologie, 28, 25–30. doi: http://dx.doi.org/10.1016/S0023-6438(95)80008-5
  6. Cabrera C., Artacho R., Gimenez R., 2006. Beneficial effects of green tea-a review. The Journal of the American College of Nutrition, 25, 79–99.
  7. Cao Z.H., Gu D.H., Lin Q.Y., Xu Z.Q., Huang Q.C., Rao H., Liu E.W., Jia J.J., Ge C.R., 2011. Effect of pu-erh tea on body fat and lipid profiles in rats with diet-induced obesity. Phytotherapy Research, 25, 2, 234–238. doi: http://dx.doi.org/10.1002/ptr.3247
  8. Chen Y.S., Liu B.L., Chang Y.N., 2010. Bioactivities and sensory evaluation of Pu-erh teas made from three tea leaves in an improved pile fermentation process. Journal of Bioscience and Bioengineering, 109, 6, 557–563. doi: http://dx.doi.org/10.1016/j.jbiosc.2009.11.004
  9. Dmowski P., Śmiechowska M., Deja B., 2011. Wpływ warunków zaparzania na zawartość garbników oraz wybranych parametrów barwy herbaty [Influence of the tea brewing conditions on the content of tannins and choosen parameters of colour], Zeszyty Naukowe Akademii Morskiej w Gdyni, 68, 5–12 [in Polish].
  10. Du L., Li J., Li W., Li Y., Li T., Xiao D., 2014. Characterization of volatile compounds of pu-erh tea using solid-phase microextraction and simultaneous distillation–extraction coupled with gas chromatography–mass spectrometry. Food Research International, 57, 61–70. doi: http://dx.doi.org/10.1016/j.foodres.2014.01.008
  11. Duh P.D., Yen G.C., Yen W.J., Wang B.S., Chang L.W., 2004. Effects of Pu-erh tea on oxidative damage and nitric oxide scavenging. Journal of Agricultural and Food Chemistry, 52, 8169–8176. doi: http://dx.doi.org/10.1021/jf0490551
  12. Fan J.P., Fan C., Dong W.M., Gao B., Yuan W., Gong J.S., 2013. Free radical scavenging and anti-oxidative activities of an ethanol-soluble pigment extract prepared from fermented Zijuan Pu-erh tea. Food and Chemical Toxicology, 59, 527–533. doi: http://dx.doi.org/10.1016/j.fct.2013.06.047
  13. Fernando C.D., Soysa P., 2015. Extraction kinetics of phytochemicals and antioxidant activity during black tea (Camellia sinensis L.) brewing. Nutrition Journal, 14, 74. doi: http://dx.doi.org/10.1186/s12937-015-0060-x
  14. Fik M., Zawiślak A., 2004. Porównanie właściwości przeciwutleniających wybranych herbat [Antioxidant activity of some selected teas – a comparison]. Żywność Nauka Technologie Jakość, 3, 40, 98–105 [in Polish].
  15. Friedman M., Mackey B.E., Kim H.J., Lee I.S., Lee K.R., Lee S.U., Kozukue E., Kozukue N., 2007. Structure-activity relationships of tea compounds against human cancer cells. Journal of Agricultural and Food Chemistry, 55, 2, 243–253. doi: http://dx.doi.org/10.1021/jf062276h
  16. Gao L., Bian M., Mi R., Hu X., Wu J., 2016. Quality identification and evaluation of Pu-erh teas of different grade levels and various ages through sensory evaluation and instrumental analysis. International Journal of Food Sciences and Technology, 51, 1338–1348. doi: http://dx.doi.org/10.1111/ijfs.13103
  17. General Administration of Quality Supervision, Inspection and Quarantine of the People’s Republic of China, 2006. Regulations of Pu’er Tea Processing Technology. DB53/T 173-2006. In: Local Standards of Yunnan Province: Pu’er Tea., DB53/103-2006.
  18. Górnaś P., Dwiecki K., Siger A., Tomaszewska-Gras J., Michalak M., Polewski K., 2016. Contribution of phenolic acids isolated from green and roasted boiled-type coffee brews to total coffee antioxidant capacity. European Food Research and Technology, 242, 641–653. doi: http://dx.doi.org/10.1007/s00217-015-2572-1
  19. Gramza-Michałowska A., Kobus-Cisowska J., Kmiecik D., Korczak J., Helak B., Dziedzic K., Górecka D., 2016. Antioxidative potential, nutritional value and sensory profiles of confectionery fortified with green and yellow tea leaves (Camellia sinensis). Food Chemistry, 211, 448–454. doi: http://dx.doi.org/10.1016/j.foodchem.2016.05.048
  20. Gramza-Michalowska A., Korczak J., Regula J., 2007. Use of plant extracts in summer and winter season butter oxidative stability improvement. Asia Pacific Journal of Clinical Nutrition, 16, Suppl. 1, 85–88.
  21. Gramza-Michałowska A., Sidor A., Reguła J., Kulczyński B., 2015. PCL assay application in superoxide anion-radical scavenging capacity of tea Camellia sinensis extracts. Acta Scientiarum Polonorum Technologia Alimentaria, 14, 4, 331–341. doi: http://dx.doi.org/10.17306/J.AFS.2015.4.33
  22. Gramza-Michałowska A., 2014. Caffeine in tea Camellia sinensis – content, absorption, benefits and risk of consumption. Journal of Nutrition, Health and Aging, 18, 2, 143–149. doi: http://dx.doi.org/10.1007/s12603-013-0404-1
  23. Gramza-Michałowska A., 2010. Herbata – aromatyczny napój czy superantyoksydant? [Tea – aromatic beverage or superantioxidant?]. Przemysł Spożywczy, 64, 32–36 [in Polish].
  24. Han Z.X., Rana M.M., Liu G.F., Gao M.J., Li D.X., Wu F.G., Li X.B., Wan X.C., Wei S., 2016. Green tea flavour determinants and their changes over manufacturing processes. Food Chemistry, 212, 739–748. doi: http://dx.doi.org/10.1016/j.foodchem.2016.06.049
  25. Hara Y., 2011. Tea catechins and their applications as supplements and pharmaceutics. Pharmacological Research, 64, 2, 100–104. doi: http://dx.doi.org/10.1016/j.phrs.2011.03.018
  26. Hęś M., Gramza-Michałowska A., 2016. Effect of plant extracts on lipid oxidation and changes in nutritive value of protein in frozen-stored meat products. Journal of Food Processing and Preservation, in press, doi: http://dx.doi.org/10.1111/jfpp.12989
  27. Hou C.W., 2011. Pu-Erh tea and GABA attenuates oxidative stress in kainic acid-induced status epilepticus. Journal of Biomedical Sciences, 18, 75. doi: http://dx.doi.org/10.1186/1423-0127-18-75
  28. Huang D., Ou B., Prior R.L., 2005. The chemistry behind antioxidant capacity assays. Journal of Agricultural and Food Chemistry, 53, 1841–1856. doi: http://dx.doi.org/10.1021/jf030723c
  29. Huang Q., Chen S., Chen H., Wang Y., Wang Y., Hochstetter D., Xu P., 2013. Studies on the bioactivity of aqueous extract of pu-erh tea and its fractions: in vitro antioxidant activity and a-glycosidase inhibitory property, and their effect on postprandial hyperglycemia in diabetic mice. Food and Chemical Toxicology, 53, 75–83. doi: http://dx.doi.org/0.1016/j.fct.2012.11.039
  30. ISO 1572:1980 (1980). Tea – Preparation of ground sample of known dry matter content.
  31. Jeng K.C., Chen C.S., Fang Y.P., Hou R.C.W., Chen Y.S., 2007. Effect of microbial fermentation on content of statin, GABA, and polyphenols in Pu-Erh Tea. Journal of Agricultural and Food Chemistry, 55, 21, 8787–8792. doi: http://dx.doi.org/10.1021/jf071629p
  32. Jie G., Lin Z., Zhang L., Lv H., He P., Zhao B., 2006. Free radical scavenging effect of Pu-erh tea extracts and their protective effect on oxidative damage in human fibroblast cells. Journal of Agricultural and Food Chemistry, 54, 21, 8058–8064. doi: http://dx.doi.org/10.1021/jf061663o
  33. Khokhar S., Magnusdottir S.G.M., 2002. Total phenol, catechin, and caffeine contents of teas commonly consumed in the United Kingdom. Journal of Agricultural and Food Chemistry, 50, 565–570. http://dx.doi.org/10.1021/jf010153l
  34. Kmiecik D., Korczak J., Rudzińska M., Gramza-Michałowska A., Hęś M., Kobus-Cisowska J., 2015. Stabilization of phytosterols by natural and synthetic antioxidants in high temperature conditions. Food Chemistry, 173, 966–971. doi: http://dx.doi.org/10.1016/j.foodchem.2014.10.074
  35. Kujawska M., Ewertowska M., Ignatowicz E., Adamska T., Szaefer H., Gramza-Michałowska A., Korczak J., Jodynis-Libert J., 2016. Evaluation of safety and antioxidant activity of yellow tea (Camellia sinensis) extract for application in food. Journal of Medicinal Food, 19, 3, 330–336. doi: http://dx.doi.org/10.1089/jmf.2015.0114
  36. Kuo K.L., Weng M.S., Chiang C.T., Tsai Y.J., Lin-Shiau S.Y., Lin J.K., 2005. Comparative studies on the hypolipidemic and growth suppressive effects of oolong, black, pu-erh, and green tea leaves in rats. Journal of Agricultural and Food Chemistry, 53, 2, 480–489. doi: http://dx.doi.org/10.1021/jf049375k
  37. Kurleto K., Kurowski G., Laskowska B., Malinowska M., Sikora E., Otmar V., 2013. Wpływ warunków parzenia na zawartość antyoksydantów w naparach różnych rodzajów herbat [Influence of brewing conditions on antioxidant content in different kinds of tea infusions]. Wiadomości Chemiczne, 67, 11–12, 1129–1147 [in Polish].
  38. Lee L.K., Foo K.Y., 2013. Recent advances on the beneficial use and health implications of Pu-Erh tea. Food Research International, 53, 619–628. doi: http://dx.doi.org/10.1016/j.foodres.2013.02.036
  39. Lv H., Zhang Y., Lin Z., Liang Y., 2013. Processing and chemical constituents of Pu-erh tea: a review. Food Research International, 53, 608–618. doi: http://dx.doi.org/10.1016/j.foodres.2013.02.043
  40. Michalak-Majewska M., 2011. Właściwości herbaty. Część 1. Znaczenie żywieniowe [Properties of tea. part 1. nutritional importance]. Nauka Przyroda Technologie, 5, 6, #114 [in Polish].
  41. Mika M., Kostogrys R.B., Franczyk-Żarów M., Wikiera A., 2015. Wpływ dawki katechin modyfikowanych  termicznie  na  hamowanie rozwoju miażdżycy u myszy apoE-knockout [Dose effect of thermally modified catechin on the inhibition of atherosclerosis in apoe-knockout mice]. Nauka Przyroda Technologie, 9, 3, #32. doi: http://dx.doi.org/10.17306/J.NPT.2015.3.32 [in Polish].
  42. Mukherjee G., Banerjee R., 2004. Biosynthesis of tannase and gallic acid from tannin rich substrates by Rhizopus oryzae and Aspergillus foetidus. Journal of Basic Microbiology, 44, 1, 42–48. doi: http://dx.doi.org/10.1002/jobm.200310317
  43. Najgebauer-Lejko D., Żmudziński D., Ptaszek A., Socha R., 2014. Textural properties of yogurts with green tea and Pu-erh tea additive. International Journal of Food Science and Technology, 49, 1149–1158. doi: http://dx.doi.org/10.1111/ijfs.12411
  44. Pandei K.B., Rizvi S.I., 2012. Upregulation of erythrocyte ascorbate free radical reductase by tea catechins: correlation with their antioxidant properties. Food Research International, 46, 46–49. doi: http://dx.doi.org/10.1016/j.foodres.2011.11.023
  45. Plust D., Czerniejewska-Surma B., Domiszewski Z., Bienkiewicz G., Subda R., Wesołowski T., 2011. Jakość wybranych herbat białych [Quality of selected white tea types]. Żywność Nauka Technologie Jakość, 76, 3, 90–97 [in Polish].
  46. Re R., Pellegrini N., Proteggente A., Pannala A., Yang M., Rice-Evans C., 1999. Antioxidant activity applying an improved ABTS radical cation decolorization assay. Free Radical Biology and Medicine, 26, 9-10, 1231-1237. doi: http://dx.doi.org/10.1016/S0891-5849(98)00315-3
  47. Socha R., Bączkowicz M., Fortuna T., Kura A., Łabanowska M., Kurdziel M., 2013. Determination of free radicals and flavan-3-ols content in fermented and unfermented teas and properties of their infusions. European Food Research and Technology, 237, 167-177. doi: http://dx.doi.org/10.1007/s00217-013-1975-0
  48. Stote K.S., Baer D.J., 2008. Tea consumption may improve biomarkers of insulin sensitivity and risk factors for diabetes. Journal of Nutrition, 138, 8, 1584–1588.
  49. Tanaka T., Hirotaka U., Sachi N., Takuya S., Yosuke M., Isao K., 2012. Transformation of tea catechins and flavonoid glycosides by treatment with Japanese post-fermented tea acetone powder. Food Chemistry, 134, 276–281. doi: http://dx.doi.org/10.1016/j.foodchem.2012.02.136
  50. Wang D., Luo X., Zhong Y., Yang W., Xu M., Liu Y., Meng J., Yao P., Yan H., Liu L., 2012b. Pu-erh black tea extract supplementation attenuates the oxidative DNA damage and oxidative stress in Sprague–Dawley rats with renal dysfunction induced by subchronic 3-methyl-2-quinoxalin benzenevinylketo-1,4-dioxide exposure. Food and Chemical Toxicology, 50, 147–154. doi: http://dx.doi.org/10.1016/j.fct.2011.10.069
  51. Wang Y., Shao S., Xu P., Chen H., Lin-Shiau S.Y., Deng Y.T., Lin J.K., 2012a. Fermentation process enhanced production and bioactivities of oolong tea polysaccharides. Food Research International, 46, 1, 58–166. doi: http://dx.doi.org/10.1016/j.foodres.2011.11.027
  52. Waszkiewicz-Robak B., Rusaczonek A., Świderski F., 2005. Characteristic of antioxidant properties of leaf teas. Annales Universitatis Mariae Curie Skłodowska Sectio D Medicina, LX, 16, 602, 169–172.
  53. Wilska-Jeszka J., 2007. Polifenole, glukozynolany i inne związki prozdrowotne i antyżywieniowe [in:] Sikorski Z., ed. Chemia Żywności. Składniki Żywności. Wydawnictwo Naukowo-Techniczne, Warszawa, 212–224. [In Polish].
  54. Wołosiak R., Mazurkiewicz M., Drużyńska B., Worobiej E., 2008. Aktywność przeciwutleniająca wybranych herbat zielonych [Antioxidant activity of the selected green teas]. Żywność Nauka Technologie Jakość, 59, 4, 290–297 [in Polish].
  55. Woźniak M., 2000. Pu-erh – królowa chińskich herbat [Pu-erh – the queen of Chinese teas]. Wiadomości Zielarskie, 42, 10, 11–12 [in Polish].
  56. Xu P., Ying L., Wu J., Konga D., Wanga Y., 2016. Safety evaluation and antihyperlipidemia effect of aqueous extracts from fermented puerh tea. Food and Function, 7, 2667–2674. doi: http://dx.doi.org/10.1039/c5fo01389e
  57. Xu P., Chen H., Wang Y., Hochstetter D., Zhou T., Wang Y., 2012. Oral administration of puerh tea polysaccharides lowers blood glucose levels and enhances antioxidant status in alloxan-induced diabetic mice. Journal of Food Science, 77, 11, H246–252. doi: http://dx.doi.org/10.1111/j.1750-3841.2012.02950.x.
  58. Yang T.Y., Chou J.I., Ueng K.C., Chou M.Y., Yang J.J., Lin-Shiau S.Y., Su M.E., Lin J.K., 2014. Weight reduction effect of Puerh tea in male patients with metabolic syndrome. Phytotherapy Research, 28, 1096–1101.
  59. Zhang H.M., Wang C.F., Shen S.M., Wang G.L., Liu P., Liu Z.M., Wang Y.Y., Du S.S., Liu Z.L., Deng Z.W., 2012. Antioxidant Phenolic Compounds from Pu-erh. Molecules, 17, 14037–14045. doi: http://dx.doi.org/10.3390/molecules171214037

Accepted for print: 13.06.2017


Anna Gramza-Michałowska
Department of Food Service and Catering, Faculty of Food Science and Nutrition, Poznań University of Life Sciences, Poland
phone: +4861 848 7331
fax: +4861 848 7430
Wojska Polskiego 31
60-624 Poznań
Poland
email: angramza@up.poznan.pl

Bartosz Kulczyński
Department of Food Service and Catering, Faculty of Food Science and Nutrition, Poznań University of Life Sciences, Poland
Wojska Polskiego 31
60-624 Poznań
Poland

Joanna Jankowiak
Department of Food Service and Catering, Faculty of Food Science and Nutrition, Poznań University of Life Sciences, Poland
Wojska Polskiego 31
60-624 Poznań
Poland

Marzena Grdeń
Department of Food Service and Catering, Faculty of Food Science and Nutrition, Poznań University of Life Sciences, Poland
Wojska Polskiego 31
60-624 Poznań
Poland

Responses to this article, comments are invited and should be submitted within three months of the publication of the article. If accepted for publication, they will be published in the chapter headed 'Discussions' and hyperlinked to the article.