Volume 13
Issue 4
Veterinary Medicine
JOURNAL OF
POLISH
AGRICULTURAL
UNIVERSITIES
Available Online: http://www.ejpau.media.pl/volume13/issue4/art-05.html
THE INFLUENCE OF ISOPRIVET ON NEUTROPHIL SECRETORY ACTION IN THE COURSE OF BRD IN CALVES
Joanna Wessely-Szponder, Kamila Kloc
Department of Pathophysiology,
Faculty of Veterinary Medicine,
Agricultural University in Lublin, Poland
Bovine respiratory disease (BRD) is a multifactorial disease, which causes major economical loses in the cattle farms. Neutrophils play a role in the host defence but during prolonged or excessive inflammation they are destructive
for lung tissues. The excessive degranulation with release of among others elastase, myeloperoxidase, and nitric oxide causes lung injury during BRD in calves. The purpose of the study was to investigate the influence of different doses (from 50 to 1000 µg/ml) of isoprinosine (Isoprivet) on the secretory action of neutrophils isolated from calves suffering from BRD. Neutrophil degranulation was assessed by elastase and MPO release, and NO generation.
The elastase release in the group of BRD calves was greater than in healthy calves. The highest level was obtained at the concentration of 1000 µg/ml, and for BRD calves was 98.7±2.39%. MPO release was initially inhibited by low doses of Isoprivet. At the highest concentration of Isoprivet the maximal release was observed in the cultures of neutrophils from both studied groups of calves. Generation of NO by neutrophils from healthy calves increased along with growing concentration of Isoprivet (from the value of 1.28 µM of nitrite in the neutrophil culture without stimulation to 7.2±4.79 µM at 1000 µg/ml). Whereas in the group of BRD calves the inconsiderable decrease of NO production by neutrophils at concentration of 50-500 µg/ml of Isoprivet was observed. The distinct increase of NO generation was revealed only in response to the highest
concentration of Isoprivet (12.74±12.53 µM). Thus Isoprivet in low doses had no significant effect on neutrophil secretion or slightly inhibited it. In higher doses this preparation causes excessive release of enzymes and generation
of free radicals which may cause lung injury and worsening the course of disease.
Key words: neutrophil, BRD, Isoprivet, elastase.
INTRODUCTION
Bovine respiratory disease (BRD) is a major economical problem in the cattle farms. Commonly, the disease is caused by various microorganisms in combination with stress and environmental factors [21]. However, apart from the infectious agent, neutrophils are known to participate in lung injury associated with BRD. These cells are principally involved in mechanisms of the resistance to infection, however, under the certain conditions, their prolonged or enhanced activation and degranulation can mediate tissue damage contributing to the worsening the course of disease [20].
Neutrophils release some proteolytic enzymes such as elastase, which is capable of degrading key structural elements of connective tissues such as elastin, collagen and proteoglycan, leading to dysfunction of lungs [18]. Another enzyme involved in lung injury is myeloperoxidase (MPO) which in conjunction with HO· and Cl- generated hypochlorous acid (HOCl), a strong bactericidal agent, which also may lead to tissue damage [17].
Among the products secreted by neutrophils are also reactive nitrogen intermediates (RNI). Nitric oxide (NO) modulates both acute and chronic inflammatory reactions [15] and may contribute to tissue injury by initiating lipid peroxidation and DNA oxidation. The rapid reaction of NO with superoxide anions yields the potent oxidant peroxynitrite (ONOO-), implicated in lung injury during inflammation [1,9,16].
Isoprinosine a synthetic complex consisting of inosine and N,N-dimethylaminopropanol-2-p-acetaminobenzoate in a 1:3 molar ratio, is widely applied for the correction of immunodeficient states [13]. This complex augments lymphocyte mitogren response in vitro, acting as immunopotentiator, it influences on TH1 responses which are critical in the resistance to HIV, cancer, and infections such as Toxoplasma, Listeria and Leishmania [6]. However, the effect of isoprinosine on neutrophils has not been extensively studied [3].
The aim of the study was to investigate the influence of Isoprivet (active ingredient methisoprinol) on secretory action of neutrophils isolated from calves suffering from BRD.
MATERIALS AND METHODS
The study was carried out on 6 healthy and 10 BRD calves. Physical examination of each calf was performed before the collection of blood. Neutrophils were isolated from peripheral blood according to the method described previously [7,22]. The final cell pellet was resuspended in 1 ml of Dulbecco's Modified Eagle's Medium (DMEM-Sigma) with addition of bovine serum. After isolation, viability of neutrophils was determined by trypan blue exclusion. After the counting and differentiation, the cells were adjusted to a final concentration of 2 x 106 cells/ml and incubated at 37°C and 5% CO2 by 24 hours. Then cultures were supplemented with Isoprivet (kindly supplied by Vet-Agro, Lublin, Poland) in doses of 50 µg·ml-1, 250 µg·ml-1, 500 µg·ml-1, and 1000 µg·ml-1 dissolved in phosphate-buffered saline (PBS) and incubated for 1 hour at 37°C and 5% CO2. Control groups were supplemented by PBS in equal volume. Neutrophil degranulation was assessed by elastase and MPO release. 100% enzyme content was estimated by incubating cells in the presence of 0.5% CTAB (hexadecyltrimethylammonium bromide-Sigma) since CTAB results in complete cell lysis and release of all granule enzymes. Elastase activity was measured with azocasein (Sigma) as a substrate after 10 min. incubation at room temperature. MPO release was measured by spectroscopy after 10 min. incubation at room temperature with equal volume of o-phenylendiamine (OPD-Sigma). The elastase and MPO reactions were stopped by the addition of TCA and H2SO4, respectively. Absorbance was measured on ALAB-PLATE READER ELISA at 492 nm. All samples were assayed in duplicate [2,4,18]. Nitric oxide level was determined by Griess reaction: 50 µl of supernatant were mixed with 200 µl of Griess reagent (1% sulfanilamide, 0.1% naphthylendiamine dihydrochloride and 2.5% H3PO4). Absorbance at 545 nm was measured after 10 min. incubation with Griess reagent and compared with a standard. Obtained values were expressed as a concentration of nitrite, the stable product of NO, which accumulates in medium [8,11,14,15,16,25]. Neutrophil survival was measured on the basis of the reduction of tetrazolium salt into a blue formazan by mitochondrial dehydrogenase by MTT test [23]. Examined values were compared using analysis of variance and Student's t-test and differences were considered as significant at p<0.05.
RESULTS
The elastase release by unstimulated cells was greater in the group of BRD calves (72.47±3.78%) than in healthy calves (57.34±6.83%). In both groups the increase of elastase release under the influence of Isoprivet was observed, beginning from the lowest dose. The highest level was obtained at the concentration of 1000 µg·ml-1. It was 84.64±17.72% for healthy animals and for BRD calves it reached 98.7±2.39% (Fig. 1).
| Fig. 1. Effect of Isoprivet on elastase release by neutrophils from calves during BRD |
![]() |
| * p<0.05 versus neutrophils from healthy calves (mean ± SD) |
MPO release was initially inhibited by low doses of Isoprivet (in the range between 50 and 500 µg·ml-1) in neutrophils from healthy calves and from BRD animals as well, but without statistical significance. At the highest concentration the maximal release was observed in cultures of neutrophils from both studied groups of calves (100%) (Fig. 2).
| Fig. 2. Effect of Isoprivet on MPO release by neutrophils from BRD calves |
![]() |
| * p<0.05 versus neutrophils from healthy calves (mean ± SD). |
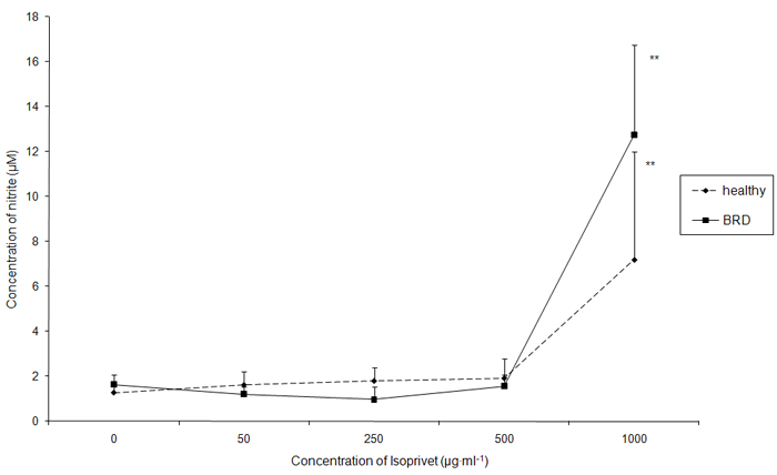
Generation of NO by neutrophils from healthy calves increased along with growing concentration of Isoprivet from the value of 1.28 μM of nitrite (neutrophil culture without stimulation) to 7.2±4.79 µM at 1000 µg·ml-1. Whereas in the group of BRD calves the inconsiderable decrease of NO production by neutrophils at concentration of 50–500 µg·ml-1 of Isoprivet was observed. In BRD calves in response to the highest concentration of Isoprivet the distinct increase of generation of NO was revealed (12.74±12.53 µM) (Fig.3).
| Fig. 3. The influence of Isoprivet on generation of NO by neutrophils from BRD calves |
![]() |
| ** p<0.05 versus neutrophils from healthy calves (mean ± SD). |
In all studied groups the viability of neutrophils was no lower than
85%.
DISCUSSION
Obtained results indicated that elastase release increased under the influence of Isoprivet from the lowest dose (50 µg·ml-1), whereas at this dose MPO release slightly decreased. MPO increase was stated at the greatest dose of 1000 µg·ml-1 in this study. The generation of NO was different in the group of healthy calves and in the group of BRD calves. In the healthy animals the generation of NO increased together with augmentation of doses of Isoprivet, whereas in BRD group the generation of NO decreased at doses from 50 to 500 µg·ml-1 and rose at the highest dose of Isoprivet.
Previous studies revealed that isoprinosine enhances immunity by influence on lymphocytes, monocytes, and macrophages. It increases immunological responses in normal as well as immunodepressed animals in viral infections [5]. These data suggest that Isoprinosine is helpful in reversing the suppressive effect of BRD viruses on peripheral blood mononuclear cells [5].
Methisoprinol enhances immunological system by stimulation of differentiation of T cells. It augments in vivo and in vitro antigen-specific as well as polyclonal lymphocyte responses [19]. Siwicki and Mizak estimated that methisoprinol at concentrations between 1 and 50 µg·ml-1 significantly increased the proliferative response of T and B lymphocytes and the highest response was between 5 to 50 µg·ml-1 [19]. Moreover, Isoprinosine in concentration from 100 to 500 µg·ml-1 increases the proportion of monocytes able to phagocytose yeast cells and also augments lymphokine- induced macrophage proliferation [3]. Mulacahy et al. observed that this drug heightens expression of membrane Fc and C receptors involved in macrophage phagocytosis of microorganisms [10].
Contrary to lymphocytes the effects of isoprinosine on granulocytes have not been extensively studied, however, the effect on chemotaxis and random migration was observed [3]. According to Patrone et al. [12] Inosiplex in the dose of 500 µg stimulated both neutrophil random migration and chemotaxis. When used at concentrations of 100 or 1000 µg·ml-1 the drug produced nonsignificant increase and reduction of both random migration and chemotaxis, respectively [12].
Results obtained by FlØ et al. [3] shown that isoprinosine stimulated granulocyte oxidative metabolism as measured by chemiluminescence. Isoprinosine in range from 250 to 1000 µg·ml-1 increased the chemiluminescence of granulocytes and maximal response was observed at 4000 µg·ml-1. Most likely concentrations above 4000 µg·ml-1 are not obtained in vivo [3]. Wybran et all [26], in turn, observed that Inosiplex significantly enhanced phagocytosis at concentrations of 50, 100, 300, and 500 µg·ml-1. This indicates that isoprinosine may improve the phagocytic capacity of granulocytes which may be beneficial to the host defence against invading microorganisms. A diminished random migration of granulocytes in the presence of isoprinosine was also demonstrated [3].
Although available data suggest that Isoprivet can beneficially influence on restriction
of tissue destruction caused by neutrophils by among others diminution of granulocyte
influx and chemotaxis [10] our study revealed that Isoprivet in very high concentrations
could contribute to increased secretory action and augmentation of injuries caused
by neutrophils [24].
CONCLUSIONS
Isoprivet depending on dose can enhance or ameliorate destructive
influence of secretory action of neutrophils isolated from BRD in calves and
this way it can influence on the course of disease. This drug in concentrations up to 500 µg·ml-1 didn't enhance neutrophil secretory action, while in concentration of 1000 µg·ml-1 it cause excessive release of elastase, MPO, and NO, that
can cause lung injury and worsening the course of disease.
REFERENCES
Abu-Sound H., Hazen S., 2000. Nitric oxide is a physiological substrate for mammalian peroxidases. J. Biol.
Chem. 275, 37524–37532. Coomber B.L., Galligan C.L., Gentry P.A., 1997. Comparison of in vitro function of neutrophils
from cattle deficient in plasma factor XI activity and from normal animals. Vet. Immunol. Immunopathol. 58, 121–131. FlØ R.W., Ness A., Albrektsen G., Solberg C.O., 1994. Isoprinosine stimulates granulocyte
chemiluminescence and inhibits monocyte chemiluminescence in vitro. APMIS, 102, 249–254. Galligan C., Coomber B., 2000. Effects of human IL-8 isoforms on bovine neutrophil function in vitro. Vet. Immunol. Immunopathol. 74, 71–85. Ghram A., Reddy P.G., Blecha F., Minocha H.C., 1989. Effect of bovine respiratory disease viruses and isoprinosine on bovine leukocyte function in vitro. Vet Microbiol. 20, 307–314. Hadden E.M. Wang Y., Sosa M., Coffey R.G, Ginger-Sorolla, Hadden J.W., 1995. Methyl inosine monophosphate (MIMP) augments T-limphocyte mitogen responses and reverses various immunosuppressants, Int.J. Immunopharmac. 17, 763–770. Hoeben D., Dosogne H., Heyneman R., Burvenich C., 1997. Effect of antibiotics on the phagocytic and respiratory burst activity of bovine granulocytes. Eur. J. Pharm. 332, 289–297. Misso N., Peacock C.D., Watkins D.N., Thompson P.J., 2000. Nitrite generation and antioxidant effects during
neutrophil apoptosis Free Rad. Biol. Med. 28, 934–943. Muijsers R., Folkerts G., Henricks P., Sadeghi-Hashjin G., Nijkamp F., 1997. Peroxynitrite:
A two-faced metabolite of nitric oxide. Life Sci. 60, 1833–1845. Mulcahy G., Quinn P.J., Hannan J., 1991. The effect of isoprinosine and levamisole on factors relevant to protection of calves against respiratory disease. J Vet Pharmacol Therap, 14, 156–169. Nims R., Darbyshire J.F., Saavedra J.E., Christodoulou D., Hanbauer I., Cox G.W., Grisham M., Krishna M.,
Wink D., 1995. Colorimetric methods for the determination of nitric oxide concentration in neutral aqueous solutions. Comp. Meth. Enzymol. 7, 48–54. Patrone F., Dallegri F., 1980. Stimulation of neutrophil locomotion by Inosiplex Int Archs Allergy Appl. Immun. 62, 221–226.
Poluektova L., Maurinsh Y., Lidaks M., Gromova N., 1995. Immunostimulating properties of the complexes of
inosine derivatives Int J Immunopharmac. 17, 941–947. Ridnour L., Sim J., Hayward M., Wink D., Martin S., Buetter G., Spitz R., 2000. A spectrophotometric
method for the direct detection and quantitation of nitric oxide, nitrite, and nitrate in cell culture media. Analytical Biochemistry 281, 223–229. Robbins R., Grisham M., 1997. Nitric oxide. Int. J. Biochem. Cell Biol. 29, 857–860.
Roy S.C., More T., Pati U.S., Srivastava S.K., 1996. Effect of P. multocida vaccination on buffalo
polymorphonuclear hydrogen peroxide and nitric oxide production Vet. Immunol. Immunopathol. 51, 173–178. Ruchaud-Sparagano M-H., Ruivenkamp C.A., Riches P., Poxton I.R., Dransfield I., 1998. Differential effects
of bacterial lipopolysaccharides upon neutrophil function FEBS Letters 430, 363–369. Sahoo G., More T., Singh V.K., 1998. A comparative study on certain enzymes of the granulocyte from different ruminant species. Comp. Immunol. Microbiol. Infect. Dis. 21, 319–325. Siwicki A, Mizak B., 2001. In vitro influence of methisoprinol on lymphocyte proliferation in dogs. Bull Vet. Inst Pulawy, 45, 227–233. Stockley R., 1995. Role of inflammation in respiratory tract infections. Am. J. Med. 29, 8–10. van der Fels-Klerx H.J., Saatkamp H.W., Verhoeff J., Dijkhuizen A.A., 2002. Effects of bovine respiratory disease on the productivity of dairy heifers quantified by experts. Livestock Production Sci. 75, 157–166. Wessely-Szponder J., Bobowiec R., Martelli F., Wójcik M., Kosior-Korzecka U., 2004. Assessment
of neutrophil components as markers of lung injury in the course of bovine respiratory tract infection. Polish J. Vet. Sci. 7, 157–161. Wessely-Szponder J, Bobowiec R., Kosior-Korzecka U., 2004. Immunomodulative effect of cimetidine
on porcine T lymphocytes in vitro Annales Sectio DD 18, 164–169. Wessely-Szponder J., Kosior-Korzecka U., 2007. The comparison of the secretory response of neutrophils
isolated from heifers in the course of Bovine Respiratory Disease and severity of clinical signs.Annales Sectio DD. 2, 40–45. Wessely-Szponder J., 2007. The effect of TNF on the production of nitric oxide by neutrophils isolated from
heifers in the course of Bovine Respiratory Disease Ejpau, EJPAU 10(4), #21. Wybran J., Govaerts A., Appelboom T., 1978. Inosiplex, a stimulating agent for normal human T cells and human leukocytes. J Immunol. 121, 1184–1187.
Accepted for print: 8.09.2010
Joanna Wessely-Szponder
Department of Pathophysiology,
Faculty of Veterinary Medicine,
Agricultural University in Lublin, Poland
Akademicka 12, 20-033 Lublin, Poland
email: joanna.wessely@up.lublin.pl
Kamila Kloc
Department of Pathophysiology,
Faculty of Veterinary Medicine,
Agricultural University in Lublin, Poland
Akademicka 12, 20-033 Lublin, Poland
Responses to this article, comments are invited and should be submitted within three months of the publication of the article. If accepted for publication, they will be published in the chapter headed 'Discussions' and hyperlinked to the article.


