Volume 11
Issue 4
Wood Technology
JOURNAL OF
POLISH
AGRICULTURAL
UNIVERSITIES
Available Online: http://www.ejpau.media.pl/volume11/issue4/art-17.html
INVESTIGATIONS ON SEALING MATERIAL CONSUMPTION IN RELATION WITH THE ROUGHNESS PARAMETERS OF HDF BOARDS
Filip Białecki1, Piotr Pohl2, Maciej Sydor2
1 Swedwood Poland Sp. z o.o.
2 Department of Woodworking Machinery and Basic of Machine Construction,
Poznań University of Life Sciences, Poland
Thin, dry-dimensioned HDF boards commonly employed in furniture industry are sealed with fillers prior to the application of surface coating materials. In industrial conditions, considerable differences were found in the consumption of the filler for identical types of boards obtained from different manufacturers. A research hypothesis was put forward which assumes that the above-mentioned differences in the filler consumption can be attributed to THE varying surface absorbability of individual boards resulting from differences in their surface geometrical structure (SGS). The presented study compares and analyses correlations between selected SGS parameters and filler consumption applied by an industrial spreader.
Key words: roughness, HDF boards, filling.
INTRODUCTION AND RESEARCH OBJECTIVE
Hard, thin dry-dimensioned fibreboards (HDF) are widely employed to manufacture furniture, make floors and other elements of internal design and equipment. The finishing of this kind of the face surface of this type of lignocellulosic materials frequently consists in painting with the assistance of rollers. This process can be conducted using a number of technologies differing with regard to the applied lacquers (e.g. water-thinned, polyester, acrylic hardened with UV radiation).
In industrial conditions, one of the important parameters characterising the painting process is its effectiveness measured by the ratio of the obtained effect to the incurred costs. Prior to the application of finishing painting materials, crude board surfaces are first primed and then treated with sealing materials. The main purpose of the above operations is to close pores and level the surface (Fig. 1) which leads to a significant reduction of the consumption of surface finishing materials as well as to the improvement of surface aesthetics.
| Fig. 1. Methods employed to remove surface roughness of wood-based materials a) levelling by sanded, b) levelling by sealing (Proszyk 1999) |
a)![]() |
b)![]() |
Significant differences were observed in the consumption of priming materials in the course of the process of the sealer application onto the surface of HDF boards derived from various manufacturers. The aim of investigations described in this article was to search for the possible reasons of the altering sealer need. The authors put forward a research hypothesis that the cause of differences in the consumption of sealing materials is different surface absorbability of individual boards resulting from their different surface geometrical structure (SGS).
MATERIALS AND METHODS
Materials
Investigations were carried out on four types of lignocellulosic HDF boards supplied by four different manufacturers of nominal thickness of 3 mm. Mean values of the physico-chemical parameters of individual boards were determined on the basis of sample results of a batch manufactured in 2006 which are presented in Table 1.
| Table 1. Physico-chemical parameters of the examined HDF boards |
|
Board Parameter |
A |
B |
C |
D |
|
Thickness [mm] |
2.99 |
2.90 |
3.03 |
2.91 |
|
Density [kg·m-3] |
867 |
860 |
911 |
872 |
|
Modules of elasticity [MPa] |
5212 |
5147 |
5307 |
5640 |
|
Bending strength [MPa] |
51.1 |
54.2 |
60.4 |
66.0 |
|
Internal bond [MPa] |
0.85 |
1.02 |
1.01 |
0.79 |
|
Moisture [%] |
3.8 |
5.8 |
3.7 |
5.8 |
|
Swelling after 24 h [%] |
43 |
45 |
36 |
41 |
Samples measuring 200 x 500 mm were prepared from the examined boards (10 samples for each type of board). All samples were sandpapered twice, first with the sandpaper of 150 followed by 220 granulation in order to remove the surface vitrified layer of lignin and, hence, improve the adhesion of the sealing material to the board.
Roughness measurements
After sanded the samples, values of selected parameters of the surface geometrical structure of the examined boards were measured. The measurements were carried out on an experimental stand which was specially designed by P. Pohl [1, 2] shown in Fig. 2. The stand was designed on the basis of an induction sensor Tesatronic® TT300 whose measuring head moves along the examined surface with a constant velocity employing, for this purpose, a special feed gear. The head applied in the described experiments was equipped in a gauging point with a 90° angle and a nose radius of 100 µm with a mechanical filter of the radius r = 80 mm.
Measurement data about the height of irregularities were fed into a PC computer in which the program written in the C+ language calculated appropriate roughness parameters according to PN-84/D-01005. Ten replicates of each measurement were performed and mean values were calculated.
| Fig. 2. Experimental stand for roughness measurements of wood and wood-derived materials |
![]() |
The following roughness parameters describing the condition of the board surface were adopted in accordance with the PN-84/D-01005 standard: height parameters – Ra, Rmax, Rz and Rm as well as one distance parameter – Sz (Rz – the average height difference between the 5 highest peaks and the 5 lowest valleys over a single sampling lengh). Entertained roughness parameters was compared in Table 2.
| Table 2. Comparision of roughness parameters designations according to choosen standards (Pohl 2005) |
|
According |
Other designations |
According |
|
Ra |
Ra |
Ra |
|
Rm |
Rtm, Rz (DIN) |
Rz |
|
Rmax |
Rm |
Rt |
|
Rz |
Rz (ISO) |
– |
|
Sz |
– |
– |
Mean Valley Spacing (Sz) – arithmetic mean of valley spacing on the elementary segment, calculated according formula:
![]() |
where:
![]() |
– i-th valley spacing; n – number of valleys (n > 5). |
The length of the measuring section was selected in accordance with the PN-84/D-01005 requirements. The above standard requires that the elementary section should comprise at least five profile irregularities and determines its length in relation to the roughness parameters – Rmax, Rz and Ra. In order to reduce the scatter of results within one sample, the length of the measurement section was increased up to l = 20 mm.
Inspection under the microscope
Sample surfaces of crude boards were inspected under the optic microscope under 125 times magnification. Digital photographs of board surfaces were taken which were later magnified digitally 1.25 times so that the final sample surface magnification reached 156 times.
Investigations on the consumption of the sealing material
The sealer was applied using an industrial spreader of the SAS 1300 type manufactured by Bűrkle (a concurrent roller spreader with a backward roller). Carrying out a series of technological experiments, optimal setting values of the spreader were determined at which satisfactory quality of the sealed surface was achieved which was considered suitable to apply onto it a layer of the finishing lacquer. Samples of the examined fibreboards were luted using the identical settings of the machine for each type of the examined boards. A sealing material hardened using UV radiation was applied in the experiments. The main constituents of the applied lute included modified polyester methacrylate and a photo initiator.
The quantity of the applied sealing material was determined using a laboratory balance RADWAG WPT 3/6C/1 of ±0.1 g accuracy. Prior to luting, each of 10 samples was weighed, then treated with the sealing material and next weighed again. The level of the consumption of the sealing material [g·m-2] was calculated from the difference of sample weights before and after luting. Sample width and length were measured with the accuracy of ±0.5 mm.
RESEARCH RESULTS
Results of roughness measurements
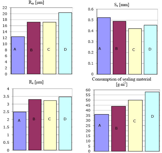
Results of roughness measurements are presented in Table 3 and some selected values of SGS parameters are illustrated in diagrams (Fig. 5).
| Table 3. List of selected values of SGS parameters for the examined boards |
|
Board design. |
Board A |
Board B |
Board C |
Board D |
||||||||
|
Roughness |
Mean value |
SD |
Variab. coeff. |
Mean value |
SD |
Variab. coeff. |
Mean value |
SD |
Variab. coeff. |
Mean value |
SD |
Variab. coeff. |
|
Ra [µm] |
2.49 |
0.21 |
0.08 |
3.3 |
0.75 |
0.23 |
3.23 |
0.37 |
0.12 |
3.47 |
0.45 |
0.13 |
|
Rmax [µm] |
18.45 |
1.83 |
0.10 |
25.71 |
4.25 |
0.17 |
21.43 |
3.34 |
0.16 |
28.70 |
6.06 |
0.21 |
|
Rm [µm] |
12.39 |
0.79 |
0.06 |
17.21 |
1.67 |
0.10 |
17.19 |
2.13 |
0.12 |
20.36 |
3.48 |
0.17 |
|
Rz [µm] |
14.28 |
0.76 |
0.05 |
19.00 |
3.34 |
0.18 |
18.01 |
2.48 |
0.14 |
22.34 |
4.32 |
0.19 |
|
Sz [mm] |
0.523 |
0.035 |
0.07 |
0.489 |
0.035 |
0.07 |
0.421 |
0.019 |
0.04 |
0.453 |
0.042 |
0.09 |
Examples of the profile graphs of the examined surfaces are presented in Fig. 3.
| Fig. 3. Examples of the profile graphs of the examined surfaces |
![]() |
Results of the inspection of experimental boards under the microscope.
Fig. 4 presents photographs of the surface microstructure of the examined boards.
The board designated by letter A is characterised by brownish-yellow colour, substantial shine and fairly uniform surface structure which indicates a considerable degree of disintegration of the wood bulk. The board was made of wood of coniferous species with a small addition of broad-leaved wood.
The board designated by letter B is light-brown and is clearly lighter in comparison with the previous one and is characterised by a less uniform structure. Small quantities of fine, non-felted fragments can be noticed in surface layers. Small quantities of fine bark particles are also visible here. This board was manufactured exclusively from coniferous species.
| Fig. 4. Pictures of surfaces of the examined HDF boards seen under the microscope (total magnification – 156 times |
![]() |
The surface of board C is less uniform than that of board B. Non-felted wood fragments as well as bundles of fibres pressed in the surface layer are characterised by greater dimensions and are better visible in comparison with the boards described above. In addition, there are more bark particles.
Board D of the distinctly lightest yellow (straw-like) colour is characterised by the largest fibre bundles and the least uniform, "groaty" structure. This indicates a low degree of fibre disintegration and hydrothermal processing of the wood pulp The surface of this board is the least shiny. The amount of bark impurities is, in this case, small, although their dimensions are similar to those of bark particles in board C.
Results of measurements of sealing material consumption
The results of consumption measurements of the employed sealing materials are presented in Table 4.
| Table 4. Results of measurements of consumption of sealing materials |
|
Board |
Lute consumption [g·m-2] |
Standard deviation [g·m-2] |
Variability coefficient [%] |
|
A |
36.02 |
1.14 |
0.03 |
|
B |
43.96 |
1.88 |
0.04 |
|
C |
49.96 |
1.19 |
0.02 |
|
D |
57.98 |
0.89 |
0.02 |
The smallest consumption of the experimental sealing material was determined in the case of board “A”, while the highest – of board "D".
Analysis of the research results
The results of measurements of the sealer consumption, measured values of selected roughness parameters as well as selected strength and physical parameters depending on the examined manufacturers are shown in Table 4. The results for individual boards are listed in the order showing quantities of the consumed sealing material, from the lowest to the highest consumption. In addition, the authors also calculated (in percent) the consumption of the sealer for different boards in relation to the board designated as "D", which was characterised by the highest consumption of the applied sealing material; SGS parameters in relation to the same board were also calculated.
| Table 5. Consumption of the sealing material and as well as selected SGS and strength and physical parameters |
|
Board Parameter |
A |
B |
C |
D |
||
|
Sealer consumption |
[g·m-2] |
36 |
44 |
50 |
58 |
|
|
[%] |
62 |
76 |
86 |
100 |
||
|
SGS parameters |
Ra |
[µm] |
2.49 |
3.30 |
3.23 |
3.47 |
|
[%] |
73 |
95 |
93 |
100 |
||
|
Rm |
[µm] |
12.39 |
17.21 |
17.19 |
20,36 |
|
|
[%] |
61 |
84 |
84 |
100 |
||
|
Sz |
[mm] |
0.523 |
0.489 |
0.421 |
0,453 |
|
|
[%] |
115 |
108 |
93 |
100 |
||
|
Selected physical and strength parameters |
Density [kg·m-3] |
867 |
860 |
911 |
872 |
|
|
Bending strength |
51.1 |
54.2 |
60.4 |
66.0 |
||
In order to prepare the surface of board A, it was necessary to use only 62% of the amount of the sealing material which was required to prepare the surface of board D; boards B and C required 76% and 86%, respectively (Table 5). The compared HDF boards were characterised by fairly diverse values of SGS parameters. The consumption of the sealer increased together with the increase in the value of height parameters (e.g. Ra and Rm) and decrease of distance parameters Sz (Fig. 5). As expected, the best correlation between the quantity of the consumed sealer and surface roughness parameters occurred for the Rm parameter (arithmetic mean of the greatest heights of the profile irregularities) because the sealer filled the spaces between the line of peaks and the contour of roughness.
The comparison of the profile graphs of the examined boards (Fig. 3) makes it possible to see the growing number of individual micro-dents together with the increase of lute consumption. Profile graphs of boards C and D reveal irregularities which can represent pores – free spaces between fibrous bundles found in the near-surface layer.
| Fig. 5. Comparison of mean values of selected SGS parameters and sealing material consumption for the examined boards |
![]() |
The mean dent distance of the Sz profile describes the longitudinal features of the profile and is an arithmetical mean of the dent distances of the profile along the elementary section. On the basis of the results obtained from SGS investigations, it can be concluded that the mean value of the Sz parameter is distinctly lower for the C board than for the A board. Profile graphs of the D board show distinct individual irregularities whose depth reaches even several micrometers, whereas in the case of the remaining boards – such considerable irregularities are much less frequent or they do not occur at all.
The HDF board designated by letter "A" characterised by a distinctly "smoother" and glossier surface in comparison with the remaining examined boards required the lowest expenditures in order to achieve the acceptable appearance of its surface. The board designated by letter "B", which was also characterised by a fairly dark colour but with a lower degree of shine, required slightly higher expenditures in comparison with the previous one. The duller boards "C" and "D" – the latter, characterised by the lightest colour and the greatest (observed under the microscope) surface heterogeneity – required the application of the greatest quantities of the sealing material. However, it should be stressed that, from the technological point of view, these boards were characterised by the highest values of strength indices (compare, for instance, the bending strength, Table 1). On the other hand, no correlations were found between board physical parameters (density, moisture content and mechanical strength) and the consumption of the sealing material.
CONCLUSIONS
The consumption of the sealing material increased with the increase in the height of the surface roughness parameters, primarily Rm, and decreased together with the increase of distance parameters.
The consumption of the sealing material increased when the board surface was characterised by micro-irregularities, was more "developed".
The consumption of the sealing material, apart from the surface roughness parameters, was influenced significantly by the technology of board production and their fraction composition. However the particulars board technological data was inaccessible for the authors because MDF manufacturers did not decided to disclose those data.
REFERENCES
Białecki F., 2003. Wpływ kroku próbkowania na dokładno¶ć odwzorowania struktury geometrycznej powierzchni przy wspomaganych komputerowo pomiarach chropowato¶ci. [Influence of step testing on accuracy of measurments of surface geometrical structure by computer aided measurements of roughness]. Typescript, Akademia Rolnicza w Poznaniu [in Polish].
Pohl P., 2005. Studia nad pomiarami struktury geometrycznej powierzchni drewna i tworzyw drzewnych [Studies of measurments of surface geometrical structure of wood and wood derived materials ]. Wyd. Akademia Rolnicza w Poznaniu [in Polish].
Proszyk S., 1999. Technologia tworzyw drzewnych. Cz. 2. Wykończanie powierzchni [Technology of wood based materiale. Part 2. Finishing of surfaces]. WSiP, Warsaw [in Polish].
Accepted for print: 24.11.2008
Filip Białecki
Swedwood Poland Sp. z o.o.
Chlastawa 17, 66-210 Zb±szynek, Poland
Phone: +48 68 347 81 92
email: filip.bialecki@swedwood.pl
Piotr Pohl
Department of Woodworking Machinery and Basic of Machine Construction,
Poznań University of Life Sciences, Poland
Wojska Polskiego 28, 60-627 Poznań, Poland
Phone: +48 61 848 74 82
email: ppohl@up.poznan.pl
Maciej Sydor
Department of Woodworking Machinery and Basic of Machine Construction,
Poznań University of Life Sciences, Poland
Wojska Polskiego 28, 60-627 Poznań, Poland
Phone: +48 61 848 74 82
Responses to this article, comments are invited and should be submitted within three months of the publication of the article. If accepted for publication, they will be published in the chapter headed 'Discussions' and hyperlinked to the article.







