Volume 11
Issue 4
Agricultural Engineering
JOURNAL OF
POLISH
AGRICULTURAL
UNIVERSITIES
Available Online: http://www.ejpau.media.pl/volume11/issue4/art-16.html
TRACTION PROPERTIES OF SELECTED TYRES IN CHANGEABLE CONDITIONS OF EXPLOITATION
Włodzimierz Białczyk, Anna Cudzik, Jarosław Czarnecki, Krzysztof Pieczarka
Institute of Agricultural Engineering,
Wrocław University of Environmental and Life Sciences, Poland
The paper presents results of traction studies of a tyre
4.00-10 and 5.00-10 (single and double – twin-transformed) on four different
surfaces (soil in the traditional cultivation, a layer of snow, a ground forest
road and a forest road with hardened surface). Maximum traction forces generated
on those surfaces were analyzed as well as the values of traction performances
and coefficients of adherence. The studies showed that twin-transformation of
tyres always results in an increase of traction forces and an increase of the
value of traction performances. The largest traction forces, traction performances
and adherence coefficients were established on a forest road with hardened surface,
whereas the smallest ones – on the snow.
Key words: changeable conditions of exploitation, traction forces, traction performances, tyres.
INTRODUCTION
A classical agricultural tractor is a universal and mobile source of energy, which means that while using it there should be a possibility of mechanization of the basic agricultural labour and treatments. A characteristic feature of exploiting agricultural tractors is that they are used in very different and changeable conditions. This variability of exploitation conditions means that the same tractors, equipped with identical driving tyres, are exploited on all possible soils used for agricultural production, both on very light soils and very heavy ones. Big changeability of the state of the surface is of importance too, and it largely depends on the atmospheric conditions [6].
The universal character of an agricultural tractor means that it is the source of tractive energy in transport work, mainly inside an agricultural farm when it moves on the roads with hardened surfaces. An agricultural tractor – after installing special instrumentation and after the necessary adaptive work – can be the source of tractive energy in the work connected with logging. During such exploitation the tractor moves on logging tracks, which are principally ground roads characterized with little susceptibility to normal and tangent loads, especially in the case of considerable moisture of the surface [3]. Also, considering the fact that a remarkable part of the work connected with gaining timber is performed in the period autumnwinterspring, the snow surface is another, very different, surface for agricultural surfaces [1,4,5,8].
It can be stated that the universal character of an agricultural tractor means that it should be fully adjusted to the changing conditions of exploitation [7]. Hence, the question arises in what degree changeability of exploitation conditions can contribute to improving or decreasing the potential tractive abilities expressed, for example, by means of the maximum tractive forces generated by the driving tyres, and in what way changeability of the conditions will be reflected in the achieved tractive performances. Another question that appears in connection with the issue under discussion refers to whether there is some optimum horizontal load of driving tyres when both the tractive forces and performances achieve the maximum values. If such one optimum horizontal load does not exist for the analyzed, changeable conditions of exploitation, then what are the relations between these optimum horizontal loads for those particular conditions of exploitation and does a situation not occur that the optimum load for the given conditions of exploitation is not at the same time the worst of the possible ones for other conditions?
THE AIM, METHOD AND CONDITIONS OF RESEARCH
The purpose of the present studies was to analyze the changes of traction properties of two different tyres in the single and double versions in the following conditions of exploitation:
soil (in the conventional cultivation),
trodden snow on a forest road in mountain conditions,
a ground forest road,
a forest road with hardened surface.
The estimation of the traction properties was carried out on the basis of the analysis of the following values characterizing the process of generating driving forces:
maximum tractive forces,
tractive performances,
adherence coefficients (coefficients of longitudal force).
The estimation of maximum tractive forces seems obvious; however, the two remaining criteria of estimation require certain explanation. Tractive performance is a parameter describing the relations between the energy put into the system "driving wheel – surface" and the energy regained from this system. In other words, tractive performance informs on the losses that accompany the process of generating tractive forces. On the other hand, adherence coefficient gives information on which part of the horizontal load of the driving wheel was used to generate tractive forces.
Values of the generated tractive forces are subject to quantitative estimation, which means that the situation is better if these forces are of a higher value. Tractive performance and adherence coefficient can be used to provide qualitative estimation of the process of generating tractive forces.
The studies were conducted using a special measurement site (Fig. 1), which made it possible to measure tractive force (exact to 1 N), turning moment (exact to 1 Nm) and slip (accuracy of the potentiometer 1%) at the same time [2].
| Fig. 1. A scheme of the site for tractive studies of micro-tractor tyres: 1 – a tractor of 9 kN class, 2 – a system imitating undercarriage o a micro-tractor, 3 – a multi-channel data acquirer, 4 – a tensometric converter of force, 5 – measurement system of horizontal deformation (slip), 6 – moment measurer |
![]() |
Tractive performances achieved at the maximum tractive force were calculated according to the following expression:
![]() |
where:
PT – tractive force [N],
rd – dynamic radius [m],
M – torque [Nm]
Adherence coefficient, according to PN-ISO 8855 called the coefficient of longitudal force which defines the relation between the longitudal force on the wheel and the vertical load of the wheel, was calculated according to the following expression:
where:
PT – tractive force [N],
G – vertical load [N].
The present studies were conducted in the years 2005-2006. The studies used the following driving tyres, single and double ones (considering twin-transformation of tyres as one of the possible modifications of driving wheels): 4.00-10 and 5.00-10. Table 1 gives the main parameters of the construction and exploitation of the used tyres.
| Table 1. Characteristics of tyres used in the studies |
| Tyre type | ||
| Tyre construction | ||
| PR number | ||
| Maximum load capacity, kg | ||
| Maximum pressure, MPa | ||
| Tread graduation, mm | ||
| Number of tread protrusions | ||
| Height of tread protrusion, mm | ||
| Dimensions, mm height width Diameter of seating |
127.0 254.0 |
101.6 254.0 |
The studies were conducted for the following values of the tyre stress forces: 710, 800, 890 and 980 N. Table 2 includes information on the conditions in which field studies were carried out.
| Table 2. Characteristics of the conditions of field studies |
| Soil cultivated in a conventional way | ||
| A road covered with trodden snow | ||
| A ground forest road | ||
| A hardened forest road | ||
The first studied surface was the soil in a tradition cultivation included in a very good rye complex of agricultural suitability of the soil, with the valuation class IVa. The granulometric composition of the cultivated layer with the thickness (0-0.3) m was marked according to PN-R-04033. The analyzed soil had the granularity of sandy loam.
Field studies were conducted in the area of the Agricultural Experimental Station of Swojec belonging to the University of Environmental and Life Sciences in Wrocław on a plot for which the agricultural treatments are presented in Table 3.
| Table 3. Agricultural treatments |
| Traditional | Skimming 10 cm + harrowing | Sowing plough 2-3 weeks before sowing (18 cm) + harrowing | With a traditional sower |
The measurements were made after the grain and straw harvest on an untouched stubble. The soil moisture was 8.3%. Mechanical properties of the surface were characterized by means of the maximum shear stresses in the layer of 0-0.15 m, and they were 87 kPa. Measurements of the compactness of the layer 0-0.2 were also made and they were 1.57 MPa.
The next studied surface was a snow cover on the ground road situated in the area of Idzikowo, near Śnieżnik Kłodzki in the Kłodzka Valley. The thickness of the snow layer was 0.35 m. It was trodden snow whose volume thickness was 2.54 g/cm3. The temperature of the surroundings and the snow at the depth of 0.10 m was 0°C. Traction studies on this surface were conducted in 2006.
The third examined surface was a ground forest road also situated in the area of Idzikowo, near Śnieżnik Kłodzki. The studies were conducted in the years 2005-2006. The ground forest road, which is at the same time a line of the surface division, is used during the work connected with utilization of the forest in the areas adjacent to it. This is first of all acquisitive work. In certain sections this road is used as a logging track, and this is related to its direct connection with a public road, where timber storage is usually organized.
The surface of this road was the typical brown acid soil which in its A and Bbr layers was characterized with the granularity of loamy sands, whereas the level of the mother rock had the granularity of light loam.
The fourth studied surface was a road of break stone and it was a slope road which was made on the basis of an existing beaten track of the local broken stone. The condition of the road was bad since as a result of many years of exploitation and the traffic of heavy vehicles transporting the wood the surface underwent remarkable degradation. The depth of the grooves in some places exceeded 0.2 m. Additional damage done by the flood of 1997 excluded this road from use and it was intended for repair and rebuilding. The construction was made of broken aggregate from a local quarry (Nowa Wieś). The fraction of Ø 0-90 mm was used to level the desired profile, while the surface of the thickness 0-0.15 was made of broken aggregate of Ø 0-60 mm which was mechanically stabilized. The surface width ranged from 2.7-3.5 m, the width of the side-space was 0.5 m on each side. The cross-sectional slope of the surface was 3-5%, while longitudal fall ranged from 4 to 12% and they were the consequence of the area sculpture where the road was situated. The ground surface of the hardened road were poor stony formations with the granularity of light loam in the earth parts.
RESULTS OF STUDIES AND THEIR ANALYSIS
With the aim of determining the effect of independent variables on dependent ones, the obtained results were submitted to a multi-factor variance analysis using the package of Statistica 7.1. Its results are given in Table 4. The first test performed in this analysis was Leven's test, on the basis of which the hypothesis was accepted on the homogeneity of variance.
| Table 4. Results of multi-factor variance analysis |
Tractive force |
||||
Adherence coefficient |
||||
Tractive performance |
| *significantly influences at the level of significance α= 0.05 |
The analysis found no significant effect of the tyre size on the analyzed tractive forces and a lack of any significant effect of the stress force on the adherence coefficient and the tractive performance. On the other hand, a significant effect of the surface type and twin-transformation was observed on the analyzed traction properties.
Fig. 2 presents the values of maximum tractive forces measured on the analyzed surfaces in all studied tyres with the horizontal load of 710 N, while Fig. 3 shows the maximum tractive forces determined with the load of 980 N. It follows from the studies that for all the analyzed horizontal loads, the highest values of maximum tractive forces of the examined tyres were achieved on the road of hardened surface, and the lowest on trodden snow. Besides, it can be seen in the diagrams that tractive forces generated on the soil in the traditional cultivation were slightly bigger than those on trodden snow, whereas on the ground road they were negligibly smaller than the forces achieved on the road with hardened surface. Increasing the vertical load of the wheel always caused the increase of the generated tractive forces. The use of twin-transformed wheels always resulted in an increase of tractive forces, independently of the kind of surface. That increase depended on the value of the vertical load of the wheels, and it can be estimated at about 10-50%. Higher increases if tractive forces were usually observed in the case of twin-transformation of the tyre 5.00-10 as compared to 4.00-10.
| Fig. 2. Values of tractive forces of the studied tyres determined with the vertical load of 710 N |
![]() |
| Fig. 3. Values of tractive forces of the studied tyres determined with the vertical load of 980 N |
![]() |
The qualitative estimation of the effect of changing vertical load of the wheels used in the study and their modifications in different conditions of exploitation, i.e. on different surfaces, can be made analyzing the changes of tractive performances and adherence coefficients.
Fig. 4 and 5 present examples of the values of tractive performances established for horizontal loads of 800 and 890 N.
| Fig. 4. Values of tractive forces of the studied tyres determined with the vertical load of 800 N |
![]() |
| Fig. 5. Values of tractive forces of the studied tyres determined with the vertical load of 890 N |
![]() |
It follows from the presented diagrams that increase of the vertical load of the studied tyres in the case of a road of hardened surface always results in increased tractive performance, while in the case of the other studied surface the increase of the vertical load is reflected in a decrease of the value of the analyzed parameter. This must be caused by the fact that the increase of the vertical load causes greater vertical deformation of the surface, which cannot be said about the road of hardened surface. On this surface tractive performances determined for the tyres 4.00-10 and 5.00-10 acquired similar values, and the greater the vertical load, the smaller the differences for the used tyres. It is significant that twin-transformation of all tyres results in increased values of tractive performance. Tyre 5.00-10, both in the single and twin versions, had higher tractive performance on all surfaces, for all the scope of changes in the vertical load (mean by 10%).
| Fig. 6. Effect of vertical load of tyre 4.00-10 in a single and double versions on tractive performance on the analyzed surfaces |
![]() |
| Fig. 7. Effect of vertical load of tyre 5.00-10 in a single and double versions on tractive performance on the analyzed surfaces |
![]() |
Fig. 6 and 7 present tractive performances of the examined tyres and their modifications in the function of changes of the vertical load. The performances presented confirm the aforementioned regularity that increasing the load of the studied tyres on the road with hardened surface always leads to the increase of the value of tractive performance, while on the surfaces which easily give in to vertical deformations increased load results in a decrease of the value of the analyzed parameter.
Fig. 8 and 9 present the values of adherence coefficients determined for the examined tyres and their modifications with horizontal load of 710 and 890 N.
| Fig. 8. Values of coefficients of longitudal force determined for vertical load of 710 N |
![]() |
| Fig. 9. Values of coefficients of longitudal force determined for vertical load of 890 N |
![]() |
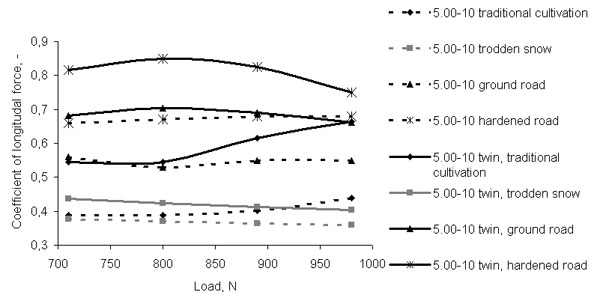
The studies showed, and this is confirmed by the figures, that he smallest values of coefficients were determined for trodden snow, whereas the biggest ones for a road of hardened surface. Values of the analyzed index obtained on the soil in the traditional cultivation were comparable in reference to those established for trodden snow. On the other hand, on a ground road they were lower than on the road with hardened surface. Twin-transformation of tyres resulted in an increase of the value of the analyzed coefficient (even by 50%), which again confirms the need to use double tyres.
| Fig. 10. Summary of changes in the values of coefficients of longitudal force of a tyre 4.00-10 single and double in the function of changes of the vertical load |
![]() |
| Fig. 11. Summary of changes in the values of coefficients of longitudal force of a tyre 5.00-10 single and double in the function of changes of the vertical load |
![]() |
Fig. 10 and 11 presents a summary of changes in the
values of the coefficients of longitudal force in the function of changes of
the vertical load of the examined tyres and their modifications. It follows from
the figures that on the trodden snow the load increase causes a decrease of the
value of the analyzed index both in the case of single and double tyres, and
the decrease of adherence is more visible in the case of twin tyres. On the soil
of traditional cultivation the values of coefficients of longitudal force determined
for single tyres were little sensitive to the load change, whereas for double
tyres an increased load always resulted in increased adherence. On the ground
and hardened road the highest values of coefficients of longitudal force were
usually obtained with the load of 800 N for all analyzed tyres.
CONCLUSIONS
The studies and analysis of the obtained results made it possible to formulate the following conclusions:The kind of surface mainly determines traction properties. The highest values of traction forces, coefficients of longitudal force and tractive performances were obtained on the road with hardened surface, while the lowest ones on trodden snow and on the soil of traditional cultivation.
The studies showed that on the soil of traditional cultivation and trodden snow, higher values of tractive forces were obtained by tyre 5.00-10, while on ground and hardened roads tyre 4.00-10 had better values. Twin-transformation of tyres has a positive effect on traction properties. This results not only in an increase of tractive forces but also in increased tractive performance and adherence coefficients.
Additional loading of the studied tyres and their modification has a positive effect on the increase of tractive forces. However, increased vertical load of tyres generally results in a decrease of tractive performances on the surfaces susceptible to vertical deformation, whereas on a hardened road it affects the increase of the values of the analyzed parameter. It was observed that increased loading of tyres causes increased values of coefficients of longitudal force determined on ground and hardened roads, while on trodden snow additional loading of tyres resulted in decreased values of the analyzed index.
It follows from the above conclusions that different values of the analyzed traction properties are the cost of the universal character of the examined tyres. This universality also means that it is impossible to determine the optimum horizontal load of the studied tyres in the discussed conditions of exploitation.
The conclusion from the present studies may
be formulated as the statement that maybe in the near future the production of
universal tyres will be given up while the offer of tractor tyres meant for strictly
defined exploitation conditions will get broader, for example for snowy surfaces,
soddy surfaces (such tyres are already offered by some tyre-making companies)
or for different ground surfaces.
REFERENCES
Anisimov G. M., 1996. Ekologiceskaja sovmestimost' sistemy Dvizitel' – lesnaja pocva [Machines and forest soil – ecological aspects. Forest industry]. Lesnaja Promyszlennost, 3 [in Russian].
Białczyk W., Czarnecki J., Kopystiański P., 1998. Stanowisko do badań trakcyjnych opon mikrociągników [The site for traction studies of micro-tractor tyres]. Polska Akademia Umiejętności, Pr. Kom. Nauk Roln. 1(1), 39-45 [in Polish]
Derek J., 2004. Drogowe dylematy [Road dilemmas]. Trybuna Leśnika, 5 [in Polish].
Kubiak M., 1990. Transport leśny [Forest transportation]. Wyd. AR Poznań [in Polish].
Modrý M., Hubený D., 2003. Impact of skider and high-lead system logging on forest soils and advanced regeneration. J Forest Sci. 49, 273-280.
Sosnowski J., 2003. Zasady proekologicznej zrywki drewna w warunkach gospodarki leśnej w górach [Principles of pro-ecological logging in the conditions of forest management in the mountains]. Sylwan 5 [in Polish].
Weissbach M., 1995. Zugkraftubertragen auf unterschieglich bearbeiten Boden [Transmission of traction forces in different soil tillage]. Ldtechnik, Jg. 50, 2, 82-83 [in German].
Wood M., Carling P., Moffat A., 2003. Reduced ground disturbance during mechanized forest harvesting on sensitive forest soils in the UK. Forestry-Oxford. 76(3).
Accepted for print: 23.10.2008
Włodzimierz Białczyk
Institute of Agricultural Engineering,
Wrocław University of Environmental and Life Sciences, Poland
37/41 Chełmońskiego Street, 51-630 Wrocław, Poland
phone: (+48) 71 320 57 06
fax: (+48) 71 348 24 86
email: wlodzimierz.bialczyk@up.wroc.pl
Anna Cudzik
Institute of Agricultural Engineering,
Wrocław University of Environmental and Life Sciences, Poland
37/41 Chełmońskiego Street, 51-630 Wrocław, Poland
phone: (+48) 71 320 57 28
fax: (+48) 71 348 24 86
email: anna.cudzik@up.wroc.pl
Jarosław Czarnecki
Institute of Agricultural Engineering,
Wrocław University of Environmental and Life Sciences, Poland
37/41 Chełmońskiego Street, 51-630 Wrocław, Poland
phone: (+48) 71 320 57 26
fax: (+48) 71 348 24 86
email: jaroslaw.czarnecki@up.wroc.pl
Krzysztof Pieczarka
Institute of Agricultural Engineering,
Wrocław University of Environmental and Life Sciences, Poland
37/41 Chełmonskiego Street, 51-630 Wrocław, Poland
phone/fax: (+48) 71 320-57-26
email: krzysztof.pieczarka@up.wroc.pl
Responses to this article, comments are invited and should be submitted within three months of the publication of the article. If accepted for publication, they will be published in the chapter headed 'Discussions' and hyperlinked to the article.










