Volume 10
Issue 4
Agronomy
JOURNAL OF
POLISH
AGRICULTURAL
UNIVERSITIES
Available Online: http://www.ejpau.media.pl/volume10/issue4/art-24.html
CONTENT AND BALANCE OF NITROGEN IN FABA BEAN FERTILIZED WITH AMMONIUM NITRATE AND FED ADDITIONALLY WITH UREA
Janusz Prusiński
Department of Agrotechnology, Faculty of Agriculture and Biotechnology, UTP University of Science and Technology, Bydgoszcz, Poland
A strict two-factor field experiment was carried out as a randomized complete block design at the Mochełek Research Station on very good rye complex soil over 2004-2006. The subject of the experiment was cultivar ‘Bobas’ and the investigated factors were fertilization (entirely pre-sowing) and additional feeding (in four equal parts) of plants with N in doses 0, 30, 60 and 90 kg N·ha-1. At five developmental stages right before foliar additional feeding that is of 8-10 leaves, at the beginning of budding and flowering, at the end of flowering and in the physiological maturity of seeds, the content of total N was determined in upper leaves with the Kjeldahl method, just as in stems, pod-shells and seeds directly after harvesting. Chlorophyll content at the same stages on 30 youngest leaves from every plot was determined using Minolta chlorophyllmeter. Additionally, harvest index, the effectiveness of the applied N doses and their utilization by faba bean plants were calculated. Forms and doses of mineral nitrogen except for highest ones did not differentiate significantly the content of total N in faba bean leaves during vegetation or in stems and pod-shells after harvesting. N dose of at least 30 kg in ammonium nitrate or 90 kg in urea were the condition for obtaining a high content of N in seeds. Neither N form nor dose influenced significantly chlorophyll content in leaves. The dose of 90 kg N·ha-1 in ammonium nitrate and 30-90 kg N·ha-1 in urea and from 60 to 180 kg N·ha-1 in ammonium nitrate and urea increased significantly, as compared to the control (with no fertilization or additional feeding) the amount of N received with seed yield and jointly by above-ground parts (stems, pod-shells and seeds). The most advantageous for the studied effectiveness indexes of the applied nitrogen was foliar additional feeding, although only harvest index and the effectiveness of N utilization from the soil, fertilizers and symbiotically fixed nitrogen were not diversified by the form of mineral N and its application technique.
Key words: faba bean, soil fertilization and plant feeding with N, N content, N balance.
INTRODUCTION
Effectiveness of mineral fertilization of legumes with nitrogen is not only shaped by the availability of this component in soil profile but above all by the efficiency of the symbiotic system that these plants form with bacteria capable of fixating molecular nitrogen. It is estimated that with a symbiosis of average effectiveness legume plants are able to assimilate about 50-60% of they nitrogen demand [12], which is usually not enough to produce high seed yield. However, an additional supply of mineral N to legumes may cause a decrease in the effectiveness of N2 fixation [5,13,21] and limit its redistribution from vegetative organs to seeds [3]. Weak Rhizobium activity, especially in adverse humidity, thermal or physical and chemical properties of the soil unfavorable to bacteria, legumes feed only with the mineral form of N, like plants that do not live in symbiosis do, which can be a reason for a decrease in their yielding potential by 15-20% [6]. After plants flowering, Rhizobium activity in nitrogen fixation, mainly as a result of the decrease in nitrogenase is low [14], and plants demand for N increasing due to seed filling. At the same time, there is evidence that 66-78% of N2 assimilated by plants takes place after flowering [12], and therefore it is considered aimless to additionally feed plants late with mineral nitrogen [2], which is used by plants mainly for building vegetative parts [20]. It results from many experiments that N coming from foliar feeding is used in a better way by legume plants [15] and to a lesser extent than N apply to the soil affects negatively nitrogenase activity [13,14,21].
The hypothesis of the experiment assumes that continuous supply of N to faba bean during vegetation will be accompanied by a greater concentration of this component in plants, but also of chlorophyll in leaves. The aim of the present experiment was the evaluation of the influence of foliar feeding with N during vegetation against diversified pre-sowing fertilization with this component on N and chlorophyll concentration and N balance in faba bean.
MATERIAL AND METHODS
A strict two-factor field experiment as a randomized complete block design in 4 replications was carried out in 2004-2006 at the at Mochełek Research Station of the University of Technology and Life Sciences on very good rye complex soil. The subject of the experiment was cultivar ‘Bobas’. The first factor was four-soil nitrogen doses: 0, 30, 60, and 90 kg N·ha-1 applied in ammonium nitrate containing 50% of ammonium and 50% of nitrate nitrogen. 0, 30, 60 and 90 kg N·ha-1 in urea with 7·H2O MgSO4 divided into four even doses were applied at the 8-10 leaves stage, at the beginning of budding, at the beginning and end of flowering and constituted the second factor. Fertilization with P and K appropriate for faba bean resulted from the abundance of these components in the soil and was amounted to 57-70 kg of P2O5·ha-1 and 72-92 kg of K2O·ha-1 and soil pH 6.3-6.6. Faba bean sowing to a depth of 8-10 cm and row spacing 20 cm in the following years were carried out on 2, 6 and 11 April with seeding rate 75 plants after emergence. The area of the sowing plot was 16.2 m2, and of harvesting plot – 13.2 m2. During vegetation, aside from foliar additional feeding, Fastac against faba bean lariid and aphis was used twice.
During five developmental stages (right before foliar additional feeding) that is at 8-10 leaves, at the beginning of budding and flowering, at the end of flowering and at physiological maturity of seeds, the content of total N was determined in upper leaves with the Kjeldahl method, just as in stems, pod-shells and seeds directly after harvesting. Chlorophyll content at the same stages on 30 youngest leaves from every plot was determined with a Minolta N-tester (chlorophyllmeter). In addition, the following were calculated:
nitrogen harvest index as a ratio of the amount of N contained in seed yield to the total amount of nitrogen received from above-ground parts yield,
effectiveness of the utilization of nitrogen uptaken from the soil, fertilizers and symbiotically fixed as a quotient of seed yield and the amount of nitrogen in seed yield and straw,
agricultural effectiveness of fertilization and additional feeding as an increase in seed yield per kg of N used in foliar feeding and soil fertilization,
physiological effectiveness of nitrogen as an increase in seed yield per kg N uptaken by plants,
coefficient of the utilization of nitrogen from fertilizers, that is a quotient of N uptaken from fertilizers and the amount of N used in fertilizers (agricultural effectiveness/ physiological effectiveness in %) [10].
Analyses of variance and regression were carried out on the obtained results for two-factor field experiment. The results obtained were verified with Tukey test at α = 0.05.
| Table 1. Mean air temperature and rainfall according to the Mochełek Experiment Station |
|
Years |
Month |
|||||
|
IV |
V |
VI |
VII |
VIII |
IX |
|
|
2004 |
7.5 |
11.3 |
14.7 |
16.4 |
17.9 |
12.7 |
|
Mean temperature for 1996 - 2005, oC |
7.7 |
13.1 |
15.9 |
17.9 |
17.9 |
12.9 |
|
2004 |
32.1 |
54.4 |
39.6 |
53.5 |
138 |
40.0 |
|
Mean rainfall for 1996 – 2006, mm |
28.3 |
61.8 |
46.1 |
85.8 |
59.6 |
48.5 |
Weather conditions during the years of experiment varied (Table 1). Year 2004 was characterized by slight shortages of rainfall from May to June and almost 140 mm rainfall in August with average air temperature almost 18°C. In 2005 and 2006 severe soil drought from the beginning of June to the end of August and very high temperature were noted, especially in July 2005 (19.4°C) and in June (16.8°C) and July (22.4°C) 2006. Rainfall during faba bean vegetation period in the successive years of the experiment was 262, 209 and 175.6 mm, respectively, including 174, 75.5 and 40.0 mm during the generative stage (from the beginning of flowering to full seed maturity).
RESULTS AND DISCUSSION
Pre-sowing faba bean fertilization with 90 kg N·ha-1 caused clear (Fig. 1a), and together with an N dose of 90 kg used in urea (Fig. 1c) highly significant, comparing to the control, decrease of N content in leaves already from the 8-10 leaves stage. The content of total N in faba bean leaves clearly increased until the beginning of flowering and then, together with plant ageing, was decreased [16,17,18], due to its dilution as dry mass yield increased [11]. However, no significant differences were observed in N content in faba bean leaves supplied with nitrogen doses ranging from 0 to 60 kg N·ha-1, regardless of its application technique.
| Fig. 1. Nitrogen content in faba bean leaves during vegetation depending on the doses of: a – pre-sowing fertilization with N-NO3 b – foliar additional feeding with N-NH2 c – fertilization and feeding with N-NO3 and N-NH2 |
![]() |
| 1 – 8-10 leaves stage, 2 – beginning of budding, 3 – beginning of flowering, 4 – end of flowering, 5 – seed physiological maturity |
No significant effect of N doses on chlorophyll content in faba bean leaves was found, and therefore in Fig. 2 only N-tester readouts at respective measurement dates are presented. N-tester measures differences between light absorption at wave length 650 and 940 nm and states chlorophyll content in SPAD units, which are a quotient of these values [19]. The basis of inference of N-tester readouts is significant positive relationship between the content of N and chlorophyll in leaves [4]. At no measurement date a different effect of the N application manner on chlorophyll content in faba bean leaves was noted. N-tester turned out to be a significantly less sensitive instrument measuring indirectly the present N concentration in leaves than the Kjeldahl’s method. This may, according to Fotyma [9], indicate its smaller usefulness for the evaluation of legume plants nourishment condition with this component and for inference on the grounds of it about yielding because chlorophyll content is correlated to a lesser extent than N with the seed yield. In research on vetch, Czapar at al. [7] stated exclusively an influence, just as in the present experiment, of developmental stage on chlorophyll concentration in leaves, contrary to the results of research on cereals [18], where N-tester may be used for the evaluation of plants nourishment with N and shows a significant variability as a result of the applied nitrogen fertilization and decision-making on the necessity of additional feeding of plants with nitrogen. However, in spite of the lack of differences in SPAD values of plants fertilized and/or additionally fed with various doses of N and the control, a highly significant interdependence was observed between N content and chlorophyll content in faba bean plants (Fig. 3). A similar relationship was found in research on plants that do not symbiotically fix nitrogen [19].
| Fig. 2. Chlorophyll content in faba bean leaves during vegetation depending on the form of the nitrogen applied |
![]() |
| 1 – 8-10 leaves stage, 2 – beginning of budding, 3 – beginning of flowering, 4 – end of flowering, 5 – seed physiological maturity |
| Fig. 3. Relationship between N and chlorophyll contents in faba bean leaves depending on the form of the nitrogen applied |
![]() |
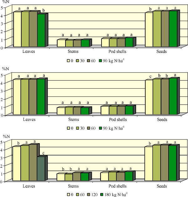
The highest content of N was in seeds, just as in the research by Ayaz at al. [1] and Księżak [17, 18], and the lowest was in stems and pod-shells (Fig. 4). Mean nitrogen content in faba bean leaves additionally fed with urea did not depend significantly on its dose, just as the content of this component in stems and pod-shells of plants fertilized pre-sowingly. Application of the highest doses of nitrogen, jointly 180 kg N·ha-1, resulted in a significant decrease of its content in leaves. Seeds contained the least N when the component was not used in a mineral form at all, which may indicate that the quantity of N2 coming from symbiosis was not sufficient; however, doses from 30 to 180 kg of mineral N did not differentiate significantly N content in faba been seeds. In the research by Barker and Sawyer on soybean, 45-90 kg N·ha-1 applied in the form of urea between rows before the beginning of pod setting resulted in a significant increase in the nitrogen content in plants, remaining, however, of no influence on its accumulation in seeds.
| Fig. 4. Nitrogen content in faba bean depending on: a – pre-sowing fertilization with N-NO3 b – foliar additional feeding with N-NH2 c – fertilization and feeding with N-NO3 and N-NH2 |
![]() |
| Mean values followed by the same letters did not differ significantly at α = 0.05 |
Due to adverse weather conditions in years 2005-2006, only in 2004 satisfactory seed yield (4.53 t·ha-1) was obtained, whilst in two first years it did not surpass 1.35 t·ha-1 because of severe soil drought. Therefore, probably the mean content of nitrogen received with faba bean biomass in the present experiment was not high and oscillated between 178 kg N on control objects and 197.5 kg N on objects fertilized or additionally fed and 203 kg N on those fertilized and additionally fed with mineral nitrogen (Table 2). With stems faba bean took away 11 kg N on average regardless of the dose and form of nitrogen applied in fertilizers, and in pod-shells – a little over 4 kg N·ha-1, although in this case no directional changes resulting from doses or nitrogen application technique can be stated. Doses of amide nitrogen from 30 to 90 kg N and ammonium nitrate from 60 to 180 kg N and amide and ammonium nitrate together did not differentiate significantly the amount of nitrogen received with seed yield.
| Table 2. Effect of nitrogen forms on the N uptake by faba bean plants |
|
Nitrogen form |
N dose |
kg of N in the yield of |
|||
|
stems |
pod-shells |
seeds |
together |
||
|
N-NO3 |
0 |
11.3 a |
4.33 ab |
162.6 c |
178.2 b |
|
30 |
10.5 a |
3.91 b |
174.1 b |
188.5 b |
|
|
60 |
11.2 a |
4.66 a |
173.9 b |
189.7 b |
|
|
90 |
11.0 a |
4.85 a |
200.0 a |
215.8 a |
|
|
N-NH2 |
0 |
11.3 a |
4.33 ab |
162.6 b |
178.2 b |
|
30 |
11.4 a |
4.27 a |
182.4 a |
198.0 a |
|
|
60 |
11.0 a |
4.10 ab |
185.4 a |
200.5 a |
|
|
90 |
10.2 a |
3.73 b |
178.1 a |
192.0 a |
|
|
N-NO3 + N-NH2 |
0 |
11.3 a |
4.33 b |
162.6 b |
178.2 b |
|
60 |
11.8 a |
4.83 a |
189.0 a |
205.6 a |
|
|
120 |
11.6 a |
4.09 b |
186.0 a |
201.7 a |
|
|
180 |
13.6 a |
4.93 a |
184.4 a |
202.9 a |
|
| Mean values followed by the same letters in columns did not differ significantly at α = 0.05 |
As compared to the control, faba bean fertilization or additional feeding with nitrogen increased the joint amount of N with yield biomass only by 19.5 kg N on average, and fertilization and additional feeding by 25 kg N·ha-1. It is hard to state without detailed research what part of N in seed yield came from mineral N used in fertilizers or present in the soil in early spring, and what part came from symbiosis. On objects with lower doses of N it was higher, and in cases where high or very high doses of N were applied, especially in-soil – much lower due to their limiting influence on nitrogenase activity [14] and symbiosis effectiveness [13,21]. Mineral nitrogen, as opposed to symbiotically fixed nitrogen, is used by plants in around 50-60% and to a greater extent the more advantageous humidity conditions during vegetation there are [8]. However, utilization of N from urea by faba bean equals only 26-28%, which results from its ability to fix N2 [15] and which probably did not cause a significant increase in N2 accumulation in seeds.
| Table 3. Effectiveness of faba bean fertilization with N |
|
Nitrogen form |
N dose |
HIN |
ENsfa |
ENa |
ENf |
WN |
|
N-NO3 |
0 |
78.3 |
18.6 |
- |
- |
- |
|
30 |
78.9 |
17.8 |
1.53 |
7.70 |
19.8 |
|
|
60 |
79.6 |
18.1 |
1.05 |
7.90 |
13.3 |
|
|
90 |
76.7 |
17.1 |
1.11 |
7.42 |
14.9 |
|
|
N-NH2 |
0 |
78.3 |
18.6 |
- |
- |
- |
|
30 |
81.1 |
18.5 |
5.8 |
14.2 |
40.8 |
|
|
60 |
80.4 |
18.3 |
2.97 |
14.0 |
21.2 |
|
|
90 |
80.8 |
18.0 |
1.72 |
11.7 |
14.7 |
|
|
N-NO3 + N-NH2 |
0 |
78.3 |
18.6 |
- |
- |
- |
|
60 |
77.3 |
17.5 |
1.94 |
11.4 |
17.0 |
|
|
120 |
77.5 |
17.4 |
1.84 |
11.0 |
16.7 |
|
|
180 |
74.4 |
16.9 |
1.48 |
9.5 |
15.5 |
| HIN – N harvest index, ENsfa – effectivenes of N derived from soil, fertilizers and atmosphere, ENa – N agricultural effectiveness, ENf – N physiological effectiveness, WN – use of N from fertilizers |
From the studied nitrogen effectiveness indexes the highest values were obtained after foliar additional feeding and similar ones after pre-sowing fertilization and the combination of fertilization and additional feeding (Table 3). Harvest index was almost 80%, that is the same as in research on different legumes (crown vetch, lentils, blue lupine and pea) [1], but also wheat [10]; all other indexes deviated significantly from those obtained in research on cereals. The effectiveness of soil, fertilizer and symbiotic nitrogen amounted to around 18% and was the least diversified by fertilizer type and its application technique, as opposed to agricultural, physiological and nitrogen utilization from fertilizers effectiveness, where its form had the strongest influence. The calculation of those last three indexes is laden with a certain error resulting from the decreasing effectiveness of N2 fixation as mineral nitrogen doses increase, and this is also probably why the latter index in research on cereals amounts to about 85% and on faba bean – to only 16-25%, just as in the experiments by Ayaza at al. [1] on the four legume plant species mentioned above.
CONCLUSIONS
Forms and doses of mineral nitrogen with the exception of 90 kg N·ha-1 applied in ammonium nitrate pre-sowingly and 90 kg N·ha-1 in urea top-dressingly did not differentiate significantly the content of total N in faba bean leaves during vegetation or in stems and pod-shells after harvesting.
The condition for obtaining the highest content of N in faba bean seeds was a dose of this component of at least 30 kg per ha applied before sowing in ammonium nitrate or 90 kg in urea applied in-leaves.
Neither the form nor the dose of nitrogen influenced significantly chlorophyll content in leaves, even though its significant positive relationship with nitrogen content during vegetation was detected.
The dose of 90 kg N·ha-1 in ammonium nitrate and the doses of 30-90 kg N·ha-1 in urea and from 60 to 180 kg N·ha-1 in ammonium nitrate and urea influenced the significant, as compared to the control (with no fertilization or additional feeding) increase in the amount of N received with seed yield and jointly by above-ground parts (stems, pod-shells and seeds).
The most advantageous for the studied effectiveness indexes of the applied nitrogen was foliar additional feeding of plants, although only harvest index and the effectiveness of N utilization jointly from the soil, fertilizers and symbiotically fixed were not diversified by the form of mineral N and its application technique.
REFERENCES
Ayaz S., McKenzie B.A., Hill G.D., McNeil D.L., 2004. Nitrogen distribution in four grain legumes. J. Agr. Sci. 142, 309-317. Barker D.W., Sawyer J.E., 2005. Nitrogen application to soybean at early reproductive development. Agron. J. 97, 615-619. Benedycka Z., Nowak G.A., 1995. Wpływ żywienia azotem na produktywnosc i gospodarkę mineralna bobiku [Effect of nitrogen feeding on productivity and mineral economy of faba bean]. Acta Acad. Agric. Tech. Olst., Agricultura 61, 45-54 [in Polish]. Blackmer T.M., Schepers J.S., 1995. Use a chlorophyll meter to monitor nitrogen status and schedule fertigation for corn. J. Prod. Agric. 8, 56-60. Buttery B.R., Gibsona H., 1990. The effect of nitrate on the time course of nitrogen fixation and growth in Pisum sativum and Vicia faba. Plant and Soil 127, 143-146. Cowling W.A., Burichell B.J., Tapia M.E., 1998. Lupin. Inter. Plant Gen. Res. Inst. Rome. Czapar G.F., Simmons F.W., Bullock D.G., 2002. Delayed control of a hairy vetch (Vicia villosa Roth.) cover crop in irrigated corn production. Crop Prot. 21, 507-510. Czuba R., 1996. Technika nawożenia mineralnego a zawartosc azotanów w roslinach [Technique of mineral fertilization versus nitrate content in plants]. Zesz. Probl. Post. Nauk Rol. 440, 65-75 [in Polish]. Fotyma E., 1997. Wyznaczanie dawek nawozów azotowych na podstawie analizy gleby i roslin [Calculation of the doses of nitrogen fertilizers on the grounds of soil and plant analysis]. Zesz. Eduk. IMUZ Falenty 4, 49-56 [in Polish]. Fotyma E., 1999. Pobranie i wykorzystanie azotu przez pszenicę ozima i jara [Uptake and utilization of nitrogen by winter and spring wheat]. Pam. Puł. 118, 143-152 [in Polish]. Greenwood D., Lemaire G., Gosse G., Cruz P., Draycott A., Neeteson J.J., 1990. Decline in percentage N of C3 and C4 crops with increasing plant mass. Ann. Bot. 66, 425-436. Hungria M., Neves M.C., 1987. Partitioning of nitrogen from biological fixation and fertilizer in Phaseolus vulgaris. Physiol. Plant. 69, 55-63. Kocoń A., 1993. Dokarmianie roslin bobiku azotem mineralnym i jego wpływ na plon nasion i symbiotyczne wiazanie N [Additional feeding of faba bean plants with mineral nitrogen and its influence on seed yield and symbiotic fixation of N2]. Fragm. Agron. 4, 169-170 [in Polish]. Kocoń A., 1999. Wpływ żywienia azotem na niektóre parametry fizjologiczne w roslinach bobiku [Effect of nitrogen feeding on some physiological parameters in faba bean plants]. Zesz. Probl. Post Nauk Rol. 469, 231-237 [in Polish]. Kocoń A., 2003. Efektywnosc wykorzystania azotu z mocznika (15N) stosowanego dolistnie lub doglebowo przez pszenicę ozima i bobik [Effect of nitrogen utilization from urea (15N) applied in-leaves or in-soil by winter wheat and faba bean]. Acta Agrophysica 85, 55-63 [in Polish]. Kocoń A., Głażewski S., Wojcieska-Wyskupajtys U., 1997. Sposób żywienia bobiku azotem a dynamika akumulacji N w roslinach [Technique of faba bean feeding with nitrogen versus N accumulation dynamics in plants]. Pam. Puł. 111, 51-71 [in Polish]. Księżak J., 2002. Dynamika gromadzenia składników pokarmowych w organach roslin tradycyjnych i samokończacych odmian bobiku w okresie od kwitnienia do dojrzałosci pełnej [Dynamics of nutrition elements accumulation in the organs of traditional and self-completing faba bean cultivars from flowering to full maturity]. Monografie i Rozprawy naukowe IUNG 5 [in Polish]. Księżak J., 2007. Dynamika przyrostu masy i akumulacja azotu przez odmiany bobiku o zróżnicowanej budowie morfologicznej [Dynamics of mass growth and nitrogen accumulation by faba bean cultivars of diversified morphological structure]. Ann. Univ. Mariae Curie-Skłodowska, Sectio E, Agricultura (w druku) [in Polish (in press)]. Machul M., 2001. Ocena stanu odżywienia roslin azotem z zastosowaniem testów roslinnych [Evaluation of nitrogen nourishment condition with the use of plant tests]. Post. Nauk Rol. 3, 71-83 [in Polish]. Rubes L., 1980. Dusikate hnojeni pri imobilizaci pudniho dusiku u bobu (Faba vulgaris Moench.). Rost. Vyr. 26(10), 2021-1030. Wojcieska U., Kocoń A., 1997. Reaction of faba bean plants to soil and foliar N application and K nutrition. Acta Physiol. Plant. 19(1), 23-28.
Accepted for print: 13.11.2007
Janusz Prusiński
Department of Agrotechnology, Faculty of Agriculture and Biotechnology, UTP University of Science and Technology, Bydgoszcz, Poland
Kordeckiego St. 20
85-225 Bydgoszcz
Poland
email: janusz.prusinski@utp.edu.pl
Responses to this article, comments are invited and should be submitted within three months of the publication of the article. If accepted for publication, they will be published in the chapter headed 'Discussions' and hyperlinked to the article.



