Volume 10
Issue 1
Forestry
JOURNAL OF
POLISH
AGRICULTURAL
UNIVERSITIES
Available Online: http://www.ejpau.media.pl/volume10/issue1/art-13.html
HEAT AS A FACTOR DETERMINING THE ACTIVITY OF CAMBIUM IN BLACK ALDER (ALNUS GLUTINOSA (L.) GAERTN.) ON MOIST SITES
Sławomir Wilczyński1, Rafał Podlaski2
1 Department of Forest Protection and Forest Climatology,
Agricultural University of Cracow, Poland
2 Department of General Biology and Nature Protection,
Institute of Biology, Pedagogical University of Kielce, Poland
The effects of air temperature, precipitation, and duration of the direct solar radiation (sunshine) on radial increment of black alder (Alnus glutinosa (L.) Gaertn.) are discussed in this paper. The investigated 21 trees were growing on a fertile site with a high water table. Each tree was cored, and on cores the tree-ring width was measured. On the basis of these measurements the mean tree-ring chronology was developed which represented the growth rhythm of trees in the investigated site. The black alder trees were most strongly responding to temperature. The reaction to sunshine duration was a little weaker, while reaction to precipitation was insignificant. The effect of previous and current year temperatures on radial increment was significant. A positive effect on tree growth had a low temperature in May, high in July and October of the previous year, and high in May, July and August of the current year. Frosts in January and prolonged winter with low temperatures were harmful to trees. The duration of the direct solar radiation in the current growing season had a significant influence on tree growth. The increased amount of sunshine in May, July and August had a positive effect on radial increment. A lack of significant correlation between precipitation and increment was probably the result of moisture conditions of the investigated site. However, there was some influence of precipitation of the cool part of the year on tree growth in the coming growing season.
Key words: Alnus glutinosa, dendroclimatology, dendroecology, tree-ring width, Swietokrzyski National Park, Poland.
INTRODUCTION
The dendroclimatic analyses concerning relationships between weather conditions and tree increment permit to obtain a quite exact estimation of tree sensitivity to meteorological factors [11]. This type of research should include various sites located in various climatic regions, because site characteristics frequently decide on the nature of climate – increment relationships [28]. The ecological requirements of black alder are quite well known, but its susceptibility to the weather factor was in the first place studied when trees were young (seedlings and young trees). Natural black alder stands mainly occur in central and northern Poland, but they are also present in mountains where they may be found up to 500 m in elevation. Black alder mainly occurs on terraces of river and lake valleys [23]. It prefers fertile soils of moderate moisture and of neutral or little acid reaction, and with a stable high water table [5, 7, 18]. A long drought has a harmful effect on trees, especially in their young age [20]. Black alder prefers a temperate climate with the mean annual temperature of 4 to 7.5°C. Its moisture requirements are satisfied by annual precipitation above 400 mm [16].
The site with trees under investigations was characterised by a high water table permanently supplied with rivulet waters. In respect of climate there were optimum conditions for growth of black alder. However, the seasonal extreme temperatures and precipitation could have a negative effect on trees. This may be deduced from climatic diagrams made for this area and presented in Fig. 1. In spite of the fact that black alder belongs to frost resistant species the long lasting frosts in winter have a negative effect on the condition of trees, and this results in increment drop [16]. However, this species is quite resistant to short-term temperature drops in winter. Beginning with September the frost resistance of shoots and buds increases reaching its maximum in February. In March this resistance gradually decreases. In April the frost resistance of previous year shoots and buds suddenly decreases, while in May young developing shoots and flowers are most susceptible to late frosts [7].
In north-western Poland black alder as a rule begins to bloom in early April, and in some years already in late March [27]. In the Swiętokrzyskie Mountains this usually happens in mid-April. The shedding of leaves most often begins in September and lasts till November, depending on temperature [26, 27]. The roots begin an active growth already in late winter, depending on temperature and snow cover [19]. Black alder is considered to be a light demanding species [2], but its light requirements are much greater when trees are older [21]. Nutrients stored by black alder are in great extent transferred to the soil with falling leaves. Thus, it does not store the biogenes for winter and the next growing season [34]. Black alder produces fruits every year, but their abundance varies, and this sometimes may affect the growth potential of trees [3].
Well known ecology of this species demarcates the area for searching the relationships between individual meteorological elements and the radial growth of trees. It should be pointed out, however, that most of characteristics of black alder presented above concern its young age. The aim of our study was to determine the climate-radial increment relationships in fully mature trees, above 50 years of age. The following three biologically important meteorological elements were taken into consideration: air temperature, duration of the direct solar radiation (sunshine) (being the carriers of heat energy), and precipitation.
MATERIAL AND METHODS
Trees used in this study were about a hundred years old. They were growing on a fertile very-fine sandy alluvial soil in the ash-alder (Fraxino-Alnetum) reparian forest in compartment 8A of the Swiętokrzyski National Park. According to data of the near meteorological station in Kielce this area is characterised by a relatively short growing season (185 days) (Fig. 1). As a rule the mean temperature of winter months is below 0 °C, and in the extreme case it was –11 °C (Fig. 1). The mean temperature of the warmest months over a long-term period of time was below 18°C. The maximum precipitation occurs in summer, and this is also true for the direct solar radiation (sunshine). Temperature was most variable in winter, while the variability of precipitation and sunshine was the highest during the growing season. Annual values of temperature and precipitation are almost right in the middle of black alder climatic optimum, while the extreme monthly or seasonal values may be out of the tolerance range of this species [23], and therefore they may limit the growth of trees.
| Fig. 1. Climatic diagrams of air temperature, precipitation, and sunshine of the Kielce meteorological station for the period 1960 – 2004. Mean monthly values (thick lines), highest and lowest monthly values (thin lines). T – mean annual temperature, P – total annual precipitation, U – mean annual sunshine (duration of direct radiation) |
![]() |
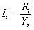
Trunks of 21 trees were cored, taking one core from each tree, 1.3 m above the ground level. On cores the tree-ring width was measured. Tree-ring dating was verified using the computer program COFECHA [14]. To eliminate the trend and long-term fluctuations, the tree-ring series were standardized using the computer program ARSTAN [4]. On the basis of indexed series the tree-ring chronology was computed for the period 1960–2004. The chronology, thanks to the process of autoregressive modelling (AR) of tree-ring series, was cleared of autocorrelation characteristic for tree-ring chronologies. Such a chronology is called a residual chronology. Indexing of tree-ring series was carried out according to the algorithm:
| (1) |
with Ii – increment index value for year i ; Ri – actual value of tree-ring width in year i ; Yi – smoothed value of tree-ring width in year i, read from the fit-curve.
The principal components analysis was used to estimate the homogeneity of tree growth responses. This method permits to reduce the number of cases describing variables and permits to classify them. Tree-ring series (variables) are strongly correlated with one another. Besides, they are described by a very large number of cases (tree-ring widths). This creates problems in interpretation and makes detection of their structure and relationships difficult. The principal components analysis (PCA) facilitates the accomplishment of these two tasks through transformation of original variables into their smaller numbers which are correlated with one another.
In searching for factors having the greatest influence on variation of radial increments the method of correlation and similarity based on the coefficient of agreement (GL%) was used [6]. This coefficient was computed according to the formula:
| [%] | (2) |
with m – number of sections of compared curves of a similar progress direction (increase or decrease); n – number of compared years.
The relationships between the air temperature, sunshine, and precipitation and the tree-ring width for the period 1960 – 2004 were estimated using correlation and response functions (a modified version of multiple regression) [11, 12, 13]. Each time 17 predictors were taken into account, i.e. monthly values of temperature, sunshine, and precipitation from May of the previous year to September of the year in which the tree-ring was formed. The increment indexes of residual chronology from the period 1960–2004 were the predictands. Coefficients of determination of the multiple regression permitted to estimate the contribution of temperature, precipitation, and sunshine to variation of radial increment. The computer program RESPO was used for these computations [15].
To estimate changes in climate-increment relationships taking place in time the computer program DENDROCLIM2002 was used [1]. This program utilizes the bootstrap and response function. The correlation and regression functions were computed for multiple time intervals. The bootstrapped response and correlation functions were computed for single and multiple time intervals. Three variants were used: a variant of moving intervals in which a constant length is progressively slid by one year; a variant of backward evolutionary intervals in which interval length is incremented by one starting from the most recent year; and a variant of forward evolutionary intervals in which interval length is incremented by one starting from the least recent year [1].
The climatic conditions prevailing during positive and negative signature years were also analysed [17, 24, 25]. It was assumed that during positive signature years 90% of trees increased the tree-ring width in comparison with width of the ring produced in the previous year. While in negative signature years the tree-ring width decreased in 90% of trees.
In each of the above cases the period from 1960 to 2004, i.e. when age of trees was greater than 50 years, was analysed.
RESULTS
The indexed tree-ring series of 21 trees were relatively similar, although this similarity was diversified in time (Fig. 2). There were years when all trees responded in a similar manner, but there were also numerous cases when this homogeneity of increment responses was much smaller. The mean coefficient of agreement of tree-ring series of 21 trees was 75.5% (p<0.001 for n=44). It was therefore very high. Coefficients of agreement (GL) between individual series were as a rule highly significant, although there were cases when there was no agreement between some series. Similar relations concerned the correlation of tree-ring series. The mean coefficient of correlation of 21 series was 0.467 (p<0.001, n=45) (Table 1).
| Table 1. Coefficients of agreement GL [%] (bold) and correlation coefficients computed between indexed series. Critical values of the coefficient of agreement GL=62.4% (α=0.05), GL=67.5% (α=0.01) and correlation coefficient r=0.2875 (α=0.05), r=0.3721 (α=0.01) |
|
No. of tree |
1 |
2 |
3 |
4 |
5 |
6 |
7 |
8 |
9 |
10 |
11 |
12 |
13 |
14 |
15 |
16 |
17 |
18 |
19 |
20 |
21 |
|
1 |
x |
0.516 |
0.491 |
0.479 |
0.589 |
0.634 |
0.598 |
0.548 |
0.575 |
0.587 |
0.303 |
0.406 |
0.312 |
0.460 |
0.459 |
0.521 |
0.408 |
0.399 |
0.464 |
0.490 |
0.521 |
|
2 |
77.3 |
x |
0.439 |
0.521 |
0.620 |
0.507 |
0.379 |
0.325 |
0.393 |
0.431 |
0.558 |
0.571 |
0.435 |
0.470 |
0.485 |
0.568 |
0.481 |
0.498 |
0.915 |
0.651 |
0.569 |
|
3 |
63.6 |
77.3 |
x |
0.309 |
0.534 |
0.448 |
0.478 |
0.497 |
0.447 |
0.523 |
0.276 |
0.325 |
0.415 |
0.395 |
0.430 |
0.210 |
0.163 |
0.161 |
0.402 |
0.326 |
0.342 |
|
4 |
72.7 |
81.8 |
65.9 |
x |
0.521 |
0.479 |
0.481 |
0.581 |
0.589 |
0.607 |
0.445 |
0.412 |
0.427 |
0.431 |
0.399 |
0.577 |
0.671 |
0.497 |
0.497 |
0.526 |
0.507 |
|
5 |
84.1 |
86.4 |
77.3 |
75.0 |
x |
0.524 |
0.614 |
0.532 |
0.539 |
0.561 |
0.462 |
0.394 |
0.471 |
0.484 |
0.455 |
0.600 |
0.424 |
0.462 |
0.666 |
0.523 |
0.465 |
|
6 |
72.7 |
72.7 |
65.9 |
68.2 |
68.2 |
x |
0.799 |
0.556 |
0.558 |
0.593 |
0.336 |
0.298 |
0.516 |
0.261 |
0.253 |
0.314 |
0.418 |
0.379 |
0.473 |
0.367 |
0.445 |
|
7 |
84.1 |
75.0 |
68.2 |
70.5 |
84.1 |
79.5 |
x |
0.531 |
0.548 |
0.570 |
0.269 |
0.234 |
0.604 |
0.214 |
0.161 |
0.385 |
0.392 |
0.396 |
0.397 |
0.367 |
0.425 |
|
8 |
70.5 |
84.1 |
79.5 |
75.0 |
79.5 |
61.4 |
68.2 |
x |
0.913 |
0.933 |
0.312 |
0.357 |
0.444 |
0.404 |
0.379 |
0.365 |
0.460 |
0.543 |
0.299 |
0.485 |
0.502 |
|
9 |
77.3 |
86.4 |
79.5 |
81.8 |
84.1 |
68.2 |
72.7 |
93.2 |
x |
0.974 |
0.360 |
0.334 |
0.478 |
0.414 |
0.368 |
0.359 |
0.545 |
0.650 |
0.368 |
0.477 |
0.516 |
|
10 |
75.0 |
84.1 |
79.5 |
79.5 |
84.1 |
65.9 |
72.7 |
95.5 |
97.7 |
x |
0.392 |
0.354 |
0.531 |
0.435 |
0.400 |
0.394 |
0.515 |
0.640 |
0.415 |
0.507 |
0.525 |
|
11 |
70.5 |
84.1 |
65.9 |
75.0 |
84.1 |
61.4 |
68.2 |
72.7 |
79.5 |
77.3 |
x |
0.797 |
0.386 |
0.189 |
0.130 |
0.323 |
0.326 |
0.570 |
0.584 |
0.666 |
0.482 |
|
12 |
70.5 |
88.6 |
70.5 |
79.5 |
79.5 |
61.4 |
72.7 |
81.8 |
79.5 |
77.3 |
86.4 |
x |
0.289 |
0.193 |
0.185 |
0.329 |
0.341 |
0.486 |
0.538 |
0.742 |
0.539 |
|
13 |
72.7 |
79.5 |
75.0 |
72.7 |
79.5 |
68.2 |
70.5 |
72.7 |
77.3 |
77.3 |
70.5 |
70.5 |
x |
0.363 |
0.285 |
0.408 |
0.434 |
0.564 |
0.475 |
0.420 |
0.448 |
|
14 |
77.3 |
81.8 |
77.3 |
72.7 |
75.0 |
63.6 |
65.9 |
75.0 |
77.3 |
75.0 |
65.9 |
70.5 |
77.3 |
x |
0.965 |
0.459 |
0.478 |
0.412 |
0.470 |
0.411 |
0.522 |
|
15 |
72.7 |
77.3 |
77.3 |
68.2 |
70.5 |
63.6 |
61.4 |
75.0 |
72.7 |
70.5 |
61.4 |
70.5 |
70.5 |
90.9 |
x |
0.434 |
0.414 |
0.324 |
0.454 |
0.371 |
0.511 |
|
16 |
77.3 |
77.3 |
68.2 |
68.2 |
77.3 |
54.5 |
70.5 |
75.0 |
75.0 |
75.0 |
70.5 |
75.0 |
75.0 |
72.7 |
72.7 |
x |
0.422 |
0.467 |
0.586 |
0.448 |
0.360 |
|
17 |
77.3 |
86.4 |
68.2 |
86.4 |
77.3 |
72.7 |
75.0 |
79.5 |
86.4 |
84.1 |
75.0 |
79.5 |
75.0 |
72.7 |
72.7 |
72.7 |
x |
0.601 |
0.493 |
0.387 |
0.420 |
|
18 |
68.2 |
81.8 |
68.2 |
68.2 |
77.3 |
63.6 |
61.4 |
65.9 |
77.3 |
70.5 |
79.5 |
70.5 |
75.0 |
68.2 |
63.6 |
63.6 |
72.7 |
x |
0.579 |
0.556 |
0.577 |
|
19 |
70.5 |
88.6 |
79.5 |
75.0 |
84.1 |
65.9 |
72.7 |
77.3 |
81.8 |
81.8 |
81.8 |
77.3 |
81.8 |
75.0 |
70.5 |
70.5 |
79.5 |
84.1 |
x |
0.590 |
0.542 |
|
20 |
77.3 |
90.9 |
72.7 |
72.7 |
81.8 |
63.6 |
70.5 |
75.0 |
77.3 |
75.0 |
75.0 |
79.5 |
79.5 |
86.4 |
81.8 |
81.8 |
81.8 |
77.3 |
79.5 |
x |
0.849 |
|
21 |
81.8 |
86.4 |
72.7 |
77.3 |
86.4 |
68.2 |
75.0 |
70.5 |
77.3 |
75.0 |
79.5 |
79.5 |
81.8 |
77.3 |
72.7 |
77.3 |
77.3 |
81.8 |
79.5 |
86.4 |
x |
Years of an especially high homogeneity of increment responses were marked as signature years. In total there were 19 signature years found among 45 years analysed. There were 12 positive and 7 negative years (Fig. 2). This was a relatively high number of signature years in comparison with other tree species [9, 29, 30].
The spread of indexed tree-ring series in relation to the first four principal components indicated that the first principal component integrates the tree-ring series (Fig. 3), while the next three differentiate them into groups. The first principal component (PC1) described 48.6% of total variation of tree-ring series, the second (PC2) 10.2%, the third (PC3) 8.51%, and the fourth (PC4) 6.1%. In total the first four components described 73.4% of total variation of tree-ring widths.
| Fig. 2. Twenty one tree-ring series of black alder (upper figure). Residual chronology (thick line) and percentage of trees increasing their ring width (thin line) (lower figure). Positive signature years (circles), negative signature years (squares) |
![]() |
| Fig. 3. Results of the principal components analysis. Position of indexed tree-ring series in respect of loadings of the first 4 principal components. The variation per-cent described by respective components is given in parenthesis |
![]() |
The identification of the nature of factors determining the variation of tree-ring widths permitted to conclude that only the first factor was of a climatic nature. Only values of the first principal component (PC1) showed a significant correlation and agreement with climatic parameters. These were the mean temperature of May of the previous year (negative correlation and agreement), the mean temperature of May of the current year (positive correlation and agreement), the mean temperature of the period July – August, and the total sunshine (positive correlation and agreement) (Fig. 4). The remaining factors described by the remaining three principal components must have had a non-climatic nature. They were probably accidental factors connected with growth history and individual features of trees.
| Fig. 4. Scores of the first principal component (PC1) (thick lines) and mean monthly temperature of the current May, the previous May, the current July – August period, and total monthly sunshine of the current July – August period (thin lines). Critical values of the coefficient of agreement GL=62.4% and GL=37.6% (α=0.05), GL=67.5% and GL=32.5% (α=0.01) and correlation coefficient r=0.2875 (α=0.05), r=0.3721 (α=0.01) |
![]() |
In order to confirm results described above the analysis of correlation and response function of tree-ring widths with various climatic factors was carried out for the period 1960–2004 (Fig. 5). Its results in majority confirmed the results of PCA analysis. Tree-ring width was negatively correlated only with mean temperature of May of the previous year, while there was a positive correlation with temperature of July and October of the previous year as well as with temperature of January, May, July, and August of the current year. Besides, a high amount of sunshine in February had a negative influence on diameter increment, while an increased amount of sunshine in May, July, and August of the current year had a positive influence (Fig. 5). There was no significant correlation between diameter increment and precipitation.
Fig. 5. Results of correlation and response function of black alder radial increment. Correlation coefficients – white bars, significant values (95% confidence level) – black bars; response function coefficients – lines, significant values (95% confidence level) – white circles. Mean monthly temperature (T), total monthly precipitation (P), and total monthly sunshine (U); p – previous year |
![]() |
It also turned out that temperature of air had the greatest effect on variation of tree-ring width (R2=41.1%). Much smaller was the effect of sunshine (R2 = 28.0%), while the effect of precipitation was minimal (R2 = 6.4%). The analysis of the bootstrap correlation and response function for variable intervals gave similar results (Tables 2, 3, and 4). A high temperature in May of the previous year had a significant negative effect on width of black alder tree-rings. This relationship was stable in time and it was very strong. Also a positive effect on radial increment of temperature of July and October of the previous year as well as temperature of March, April, May, July, and August of the current year was revealed. However, these relations were not as stable in time as it was in the case of temperature of May of the previous year (Table 2). Furthermore, it was found that overabundance of sunshine in June of the previous year negatively affected the radial increment of the current year. Also there was a distinct positive effect on tree-ring width of the increased amount of sunshine in May, July, and August of the year in which the ring is formed. The effect of sunshine in August was the most stable in time (Table 3). The relationship precipitation – diameter increment was very weak (Table 4). However, there was a positive effect of high precipitation in June of the previous year on growth of young black alder trees. This was revealed by results of the bootstrap correlation method in the variant of backward evolutionary intervals (Table 4). The findings presented above showed a high similarity of results obtained by various statistical methods.
Table 2. Results of bootstrap moving correlation and response functions, forward evolutionary correlation and response functions and backward correlation and response functions of the black alder residual chronology. Predictors are mean monthly temperature. The window starts with May of previous year (Mp) and ends with September of current year (S) for the period 1960–2004. Baselength: 36 years. Only significant factors (95% level based on bootstrapping tests) were plotted |
|
Bootstrap correlation significant values for moving intervals |
|||||||||||||||||
|
|
Mp |
Jp |
Jp |
Ap |
Sp |
Op |
Np |
Dp |
J |
F |
M |
A |
M |
J |
J |
A |
S |
|
1995 |
-0.33 |
x |
x |
x |
x |
x |
x |
x |
x |
x |
x |
x |
0.42 |
x |
x |
x |
x |
|
1996 |
-0.35 |
x |
x |
x |
x |
x |
x |
x |
x |
x |
x |
x |
0.44 |
x |
x |
x |
x |
|
1997 |
-0.35 |
x |
x |
x |
x |
x |
x |
x |
x |
x |
x |
x |
0.37 |
x |
x |
x |
x |
|
1998 |
-0.37 |
x |
x |
x |
x |
x |
x |
x |
x |
x |
x |
x |
x |
x |
x |
x |
x |
|
1999 |
-0.35 |
x |
x |
x |
x |
x |
x |
x |
x |
x |
x |
x |
x |
x |
x |
x |
x |
|
2000 |
-0.36 |
x |
0.30 |
x |
x |
x |
x |
x |
x |
x |
x |
x |
x |
x |
x |
x |
x |
|
2001 |
-0.39 |
x |
x |
x |
x |
x |
x |
x |
x |
x |
x |
0.32 |
x |
x |
0.32 |
0.33 |
x |
|
2002 |
-0.34 |
x |
0.33 |
x |
x |
0.35 |
x |
x |
0.31 |
x |
0.29 |
0.33 |
0.44 |
x |
0.37 |
0.38 |
x |
|
2003 |
-0.32 |
x |
0.30 |
x |
x |
0.37 |
x |
x |
0.31 |
x |
0.29 |
0.33 |
0.39 |
x |
0.35 |
0.37 |
x |
|
2004 |
-0.41 |
x |
x |
x |
x |
0.44 |
x |
x |
0.34 |
x |
x |
x |
0.42 |
x |
0.32 |
x |
x |
|
Bootstrap response significant values for moving intervals |
|||||||||||||||||
|
1995 |
-0.28 |
x |
x |
x |
x |
x |
x |
x |
x |
x |
x |
x |
0.32 |
x |
x |
x |
x |
|
1996 |
-0.26 |
x |
x |
x |
x |
x |
x |
x |
x |
x |
x |
x |
0.31 |
x |
x |
x |
x |
|
1997 |
-0.39 |
x |
x |
x |
x |
x |
x |
x |
x |
x |
x |
x |
x |
x |
x |
x |
x |
|
1998 |
-0.34 |
x |
x |
x |
x |
x |
x |
x |
x |
x |
x |
x |
x |
x |
x |
x |
x |
|
1999 |
-0.31 |
x |
x |
x |
x |
x |
x |
x |
x |
x |
x |
x |
x |
x |
x |
x |
x |
|
2000 |
-0.30 |
x |
x |
x |
x |
x |
x |
x |
x |
x |
x |
x |
x |
x |
x |
x |
x |
|
2001 |
-0.28 |
x |
x |
x |
x |
x |
x |
x |
x |
x |
x |
x |
x |
x |
x |
x |
x |
|
2002 |
-0.24 |
x |
x |
x |
x |
x |
x |
x |
x |
x |
x |
x |
x |
x |
x |
x |
x |
|
2003 |
-0.23 |
x |
x |
x |
x |
x |
x |
x |
x |
x |
x |
x |
x |
x |
x |
x |
x |
|
2004 |
-0.29 |
x |
x |
x |
x |
x |
x |
x |
x |
x |
x |
x |
0.25 |
x |
x |
x |
x |
|
Bootstrap correlation significant values for forward evolutionary intervals |
|||||||||||||||||
|
1995 |
-0.33 |
x |
x |
x |
x |
x |
x |
x |
x |
x |
x |
x |
0.42 |
x |
x |
x |
x |
|
1996 |
-0.38 |
x |
x |
x |
x |
x |
x |
x |
x |
x |
x |
x |
0.42 |
x |
x |
x |
x |
|
1997 |
-0.32 |
x |
x |
x |
x |
x |
x |
x |
0.27 |
x |
x |
x |
0.41 |
x |
x |
x |
x |
|
1998 |
-0.34 |
x |
x |
x |
x |
x |
x |
x |
x |
x |
x |
x |
0.36 |
x |
x |
x |
x |
|
1999 |
-0.36 |
x |
x |
x |
x |
x |
x |
x |
x |
x |
x |
x |
x |
x |
0.30 |
x |
x |
|
2000 |
-0.31 |
x |
x |
x |
x |
x |
x |
x |
x |
x |
x |
x |
0.36 |
x |
x |
x |
x |
|
2001 |
-0.26 |
x |
x |
x |
x |
x |
x |
x |
0.27 |
x |
x |
x |
x |
x |
0.37 |
0.27 |
x |
|
2002 |
-0.34 |
x |
x |
x |
x |
x |
x |
x |
x |
x |
x |
x |
x |
x |
0.34 |
0.30 |
x |
|
2003 |
-0.29 |
x |
0.26 |
x |
x |
x |
x |
x |
0.27 |
x |
x |
x |
x |
x |
0.33 |
0.29 |
x |
|
2004 |
-0.36 |
x |
x |
x |
x |
0.33 |
x |
x |
0.28 |
x |
x |
x |
0.32 |
x |
0.28 |
x |
x |
|
Bootstrap response significant values for forward evolutionary intervals |
|||||||||||||||||
|
1995 |
-0.28 |
x |
x |
x |
x |
x |
x |
x |
x |
x |
x |
x |
0.32 |
x |
x |
x |
x |
|
1996 |
-0.26 |
x |
x |
x |
x |
x |
x |
x |
x |
x |
x |
x |
0.31 |
x |
x |
x |
x |
|
1997 |
-0.28 |
x |
x |
x |
x |
x |
x |
x |
x |
x |
x |
x |
0.30 |
x |
x |
x |
x |
|
1998 |
-0.38 |
x |
x |
x |
x |
x |
x |
x |
x |
x |
x |
x |
x |
x |
x |
x |
x |
|
1999 |
-0.26 |
x |
x |
x |
x |
x |
x |
x |
x |
x |
x |
x |
x |
x |
x |
x |
x |
|
2000 |
-0.27 |
x |
x |
x |
x |
x |
x |
x |
x |
x |
x |
x |
x |
x |
x |
x |
x |
|
2001 |
-0.28 |
x |
x |
x |
x |
x |
x |
x |
x |
x |
x |
x |
x |
x |
x |
x |
x |
|
2002 |
-0.27 |
x |
x |
x |
x |
x |
x |
x |
x |
x |
x |
x |
x |
x |
x |
x |
x |
|
2003 |
-0.29 |
x |
x |
x |
x |
x |
x |
x |
x |
x |
x |
x |
x |
x |
x |
x |
x |
|
2004 |
-0.32 |
x |
x |
x |
x |
x |
x |
x |
x |
x |
x |
x |
x |
x |
x |
x |
x |
|
Bootstrap correlation significant values for backward evolutionary intervals |
|||||||||||||||||
|
1970 |
-0.41 |
x |
x |
x |
x |
0.44 |
x |
x |
0.34 |
x |
x |
x |
0.42 |
x |
0.32 |
x |
x |
|
1969 |
-0.42 |
x |
x |
x |
x |
0.47 |
x |
x |
0.34 |
x |
x |
x |
0.39 |
x |
0.29 |
x |
x |
|
1968 |
-0.40 |
x |
x |
x |
x |
0.43 |
x |
x |
0.32 |
x |
x |
x |
0.40 |
x |
0.29 |
x |
x |
|
1967 |
-0.42 |
x |
x |
x |
x |
0.42 |
x |
x |
0.32 |
x |
x |
x |
0.39 |
x |
0.29 |
x |
x |
|
1966 |
-0.40 |
x |
x |
x |
x |
0.40 |
x |
x |
0.31 |
x |
x |
x |
x |
x |
x |
x |
x |
|
1965 |
-0.40 |
x |
x |
x |
x |
0.40 |
x |
x |
0.37 |
x |
x |
x |
x |
x |
x |
x |
x |
|
1964 |
-0.39 |
x |
x |
x |
x |
0.39 |
x |
x |
0.28 |
x |
x |
x |
x |
x |
x |
x |
x |
|
1963 |
-0.38 |
x |
x |
x |
x |
0.35 |
x |
x |
0.27 |
x |
x |
x |
x |
x |
x |
x |
x |
|
1962 |
-0.36 |
x |
x |
x |
x |
x |
x |
x |
0.28 |
x |
x |
x |
0.32 |
x |
0.26 |
x |
x |
|
1961 |
-0.36 |
x |
x |
x |
x |
0.33 |
x |
x |
0.28 |
x |
x |
x |
0.32 |
x |
0.28 |
x |
x |
|
Bootstrap response significant values for backward evolutionary intervals |
|||||||||||||||||
|
1970 |
-0.29 |
x |
x |
x |
x |
x |
x |
x |
x |
x |
x |
x |
0.25 |
x |
x |
x |
x |
|
1969 |
-0.27 |
x |
x |
x |
x |
0.36 |
x |
x |
x |
x |
x |
x |
0.22 |
x |
x |
x |
x |
|
1968 |
-0.28 |
x |
x |
x |
x |
0.29 |
x |
x |
x |
x |
x |
x |
x |
x |
x |
x |
x |
|
1967 |
-0.28 |
x |
x |
x |
x |
0.34 |
x |
x |
x |
x |
x |
x |
0.22 |
x |
x |
x |
x |
|
1966 |
-0.35 |
x |
x |
x |
x |
0.32 |
x |
x |
0.24 |
x |
x |
x |
x |
x |
x |
x |
x |
|
1965 |
-0.35 |
x |
x |
x |
x |
0.32 |
x |
x |
x |
x |
x |
x |
x |
x |
x |
x |
x |
|
1964 |
-0.35 |
x |
x |
x |
x |
0.32 |
x |
x |
0.25 |
x |
x |
x |
x |
x |
x |
x |
x |
|
1963 |
-0.32 |
x |
x |
x |
x |
x |
x |
x |
x |
x |
x |
x |
x |
x |
x |
x |
x |
|
1962 |
-0.32 |
x |
x |
x |
x |
x |
x |
x |
0.25 |
x |
x |
x |
x |
x |
x |
x |
x |
|
1961 |
-0.32 |
x |
x |
x |
x |
x |
x |
x |
x |
x |
x |
x |
x |
x |
x |
x |
x |
Table 3. Results of bootstrap moving correlation and response functions, forward evolutionary correlation and response functions and backward correlation and response functions of the black alder residual chronology. Predictors are monthly sunshine duration. The window starts with May of previous year (Mp) and ends with September of current year (S) for the period 1960-2004. Baselength: 36 years. Only significant factors (95% level based on bootstrapping tests) were plotted |
|
Bootstrap correlation significant values for moving intervals |
||||||||||||||||||
|
|
Mp |
Jp |
Jp |
Ap |
Sp |
Op |
Np |
Dp |
J |
F |
M |
A |
M |
J |
J |
A |
S |
|
|
1995 |
x |
x |
x |
x |
x |
x |
x |
x |
x |
x |
x |
x |
x |
x |
0.39 |
0.52 |
x |
|
|
1996 |
x |
x |
x |
x |
x |
x |
x |
x |
x |
x |
x |
x |
x |
x |
x |
0.51 |
x |
|
|
1997 |
x |
x |
x |
x |
x |
x |
x |
x |
x |
x |
x |
x |
x |
x |
x |
0.45 |
x |
|
|
1998 |
x |
x |
x |
x |
x |
x |
x |
x |
x |
x |
x |
x |
x |
x |
x |
0.40 |
x |
|
|
1999 |
x |
x |
x |
x |
x |
x |
x |
x |
x |
x |
x |
x |
x |
x |
x |
0.45 |
x |
|
|
2000 |
x |
x |
x |
x |
x |
x |
x |
x |
x |
x |
x |
x |
x |
x |
x |
0.46 |
x |
|
|
2001 |
x |
x |
x |
x |
x |
x |
x |
x |
x |
x |
x |
x |
0.34 |
x |
x |
0.56 |
x |
|
|
2002 |
x |
x |
x |
x |
x |
x |
x |
x |
x |
x |
x |
x |
0.37 |
x |
x |
0.57 |
x |
|
|
2003 |
x |
x |
x |
x |
x |
x |
x |
x |
x |
x |
x |
x |
0.35 |
x |
x |
0.54 |
x |
|
|
2004 |
x |
x |
x |
x |
x |
x |
x |
x |
x |
x |
x |
x |
0.42 |
x |
x |
0.45 |
x |
|
|
Bootstrap response significant values for moving intervals |
||||||||||||||||||
|
1995 |
x |
x |
x |
x |
x |
x |
x |
x |
x |
x |
x |
x |
x |
x |
x |
0.35 |
x |
|
|
1996 |
x |
x |
x |
x |
x |
x |
x |
x |
x |
x |
x |
x |
x |
x |
x |
0.36 |
x |
|
|
1997 |
x |
x |
x |
x |
x |
x |
x |
x |
x |
x |
x |
x |
x |
x |
x |
0.32 |
x |
|
|
1998 |
x |
x |
x |
x |
x |
x |
x |
x |
x |
x |
x |
x |
x |
x |
x |
0.30 |
x |
|
|
1999 |
x |
x |
x |
x |
x |
x |
x |
x |
x |
x |
x |
x |
x |
x |
x |
0.32 |
x |
|
|
2000 |
x |
x |
x |
x |
x |
x |
x |
x |
x |
x |
x |
x |
x |
x |
x |
0.35 |
x |
|
|
2001 |
x |
x |
x |
x |
x |
x |
x |
x |
x |
x |
x |
x |
x |
x |
x |
0.41 |
x |
|
|
2002 |
x |
x |
x |
x |
x |
x |
x |
x |
x |
x |
x |
x |
x |
x |
x |
0.42 |
x |
|
|
2003 |
x |
x |
x |
x |
x |
x |
x |
x |
x |
x |
x |
x |
x |
x |
x |
0.42 |
x |
|
|
2004 |
x |
x |
x |
x |
x |
x |
x |
x |
x |
x |
x |
x |
0.31 |
x |
x |
0.32 |
x |
|
|
Bootstrap correlation significant values for forward evolutionary intervals |
||||||||||||||||||
|
1995 |
x |
x |
x |
x |
x |
x |
x |
x |
x |
x |
x |
x |
x |
x |
0.39 |
0.52 |
x |
|
|
1996 |
x |
x |
x |
x |
x |
x |
x |
x |
x |
x |
x |
x |
x |
x |
0.39 |
0.53 |
x |
|
|
1997 |
x |
x |
x |
x |
x |
x |
x |
x |
x |
x |
x |
x |
x |
x |
0.42 |
0.47 |
x |
|
|
1998 |
x |
x |
x |
x |
x |
x |
x |
x |
x |
x |
x |
x |
x |
x |
0.42 |
0.43 |
x |
|
|
1999 |
x |
x |
x |
x |
x |
x |
x |
x |
x |
x |
x |
x |
x |
x |
0.41 |
0.45 |
x |
|
|
2000 |
x |
x |
x |
x |
x |
x |
x |
x |
x |
x |
x |
x |
x |
x |
0.34 |
0.47 |
x |
|
|
2001 |
x |
x |
x |
x |
x |
x |
x |
x |
x |
x |
x |
x |
x |
x |
x |
0.49 |
x |
|
|
2002 |
x |
x |
x |
x |
x |
x |
x |
x |
x |
x |
x |
x |
x |
x |
0.34 |
0.51 |
x |
|
|
2003 |
x |
x |
x |
x |
x |
x |
x |
x |
x |
x |
x |
x |
x |
x |
0.34 |
0.48 |
x |
|
|
2004 |
x |
x |
x |
x |
x |
x |
x |
x |
x |
x |
x |
x |
x |
x |
x |
0.39 |
x |
|
|
Bootstrap response significant values for forward evolutionary intervals |
||||||||||||||||||
|
1995 |
x |
x |
x |
x |
x |
x |
x |
x |
x |
x |
x |
x |
x |
x |
x |
0.35 |
x |
|
|
1996 |
x |
x |
x |
x |
x |
x |
x |
x |
x |
x |
x |
x |
x |
x |
x |
0.36 |
x |
|
|
1997 |
x |
x |
x |
x |
x |
x |
x |
x |
x |
x |
x |
x |
x |
x |
x |
0.32 |
x |
|
|
1998 |
x |
x |
x |
x |
x |
x |
x |
x |
x |
x |
x |
x |
x |
x |
x |
0.31 |
x |
|
|
1999 |
x |
x |
x |
x |
x |
x |
x |
x |
x |
x |
x |
x |
x |
x |
x |
0.33 |
x |
|
|
2000 |
x |
x |
x |
x |
x |
x |
x |
x |
x |
x |
x |
x |
x |
x |
x |
0.34 |
x |
|
|
2001 |
x |
x |
x |
x |
x |
x |
x |
x |
x |
x |
x |
x |
x |
x |
x |
0.37 |
x |
|
|
2002 |
x |
x |
x |
x |
x |
x |
x |
x |
x |
x |
x |
x |
x |
x |
x |
0.37 |
x |
|
|
2003 |
x |
x |
x |
x |
x |
x |
x |
x |
x |
x |
x |
x |
x |
x |
x |
0.37 |
x |
|
|
2004 |
x |
x |
x |
x |
x |
x |
x |
x |
x |
x |
x |
x |
x |
x |
x |
0.32 |
x |
|
|
Bootstrap correlation significant values for backward evolutionary intervals |
||||||||||||||||||
|
1970 |
x |
-0.35 |
x |
x |
x |
x |
x |
x |
x |
x |
x |
x |
0.42 |
x |
x |
0.45 |
x |
|
|
1969 |
x |
-0.32 |
x |
x |
x |
x |
x |
x |
x |
x |
x |
x |
0.38 |
x |
x |
0.46 |
x |
|
|
1968 |
x |
-0.31 |
x |
x |
x |
x |
x |
x |
x |
x |
x |
x |
0.37 |
x |
x |
0.46 |
x |
|
|
1967 |
x |
-0.32 |
x |
x |
x |
x |
x |
x |
x |
x |
x |
x |
0.35 |
x |
x |
0.45 |
x |
|
|
1966 |
x |
-0.38 |
x |
x |
x |
x |
x |
x |
x |
x |
x |
x |
x |
x |
x |
0.40 |
x |
|
|
1965 |
x |
-0.32 |
x |
x |
x |
x |
x |
x |
x |
x |
x |
x |
x |
x |
x |
0.39 |
x |
|
|
1964 |
x |
-0.38 |
x |
x |
x |
x |
x |
x |
x |
x |
x |
x |
x |
x |
x |
0.37 |
x |
|
|
1963 |
x |
-0.30 |
x |
x |
x |
x |
x |
x |
x |
x |
x |
x |
x |
x |
x |
0.37 |
x |
|
|
1962 |
x |
x |
x |
x |
x |
x |
x |
x |
x |
x |
x |
x |
x |
x |
x |
0.39 |
x |
|
|
1961 |
x |
x |
x |
x |
x |
x |
x |
x |
x |
x |
x |
x |
x |
x |
x |
0.39 |
x |
|
|
Bootstrap response significant values for backward evolutionary intervals |
||||||||||||||||||
|
1970 |
x |
x |
x |
x |
x |
x |
x |
x |
x |
x |
x |
x |
0.31 |
x |
x |
0.32 |
x |
|
|
1969 |
x |
x |
x |
x |
x |
x |
x |
x |
x |
x |
x |
x |
0.27 |
x |
x |
0.35 |
x |
|
|
1968 |
x |
x |
x |
x |
x |
x |
x |
x |
x |
x |
x |
x |
0.26 |
x |
x |
0.36 |
x |
|
|
1967 |
x |
x |
x |
x |
x |
x |
x |
x |
x |
x |
x |
x |
x |
x |
x |
0.35 |
x |
|
|
1966 |
x |
x |
x |
x |
x |
x |
x |
x |
x |
x |
x |
x |
x |
x |
x |
0.32 |
x |
|
|
1965 |
x |
x |
x |
x |
x |
x |
x |
x |
x |
x |
x |
x |
x |
x |
x |
0.32 |
x |
|
|
1964 |
x |
x |
x |
x |
x |
x |
x |
x |
x |
x |
x |
x |
x |
x |
x |
0.32 |
x |
|
|
1963 |
x |
x |
x |
x |
x |
x |
x |
x |
x |
x |
x |
x |
x |
x |
x |
0.31 |
x |
|
|
1962 |
x |
x |
x |
x |
x |
x |
x |
x |
x |
x |
x |
x |
x |
x |
x |
0.33 |
x |
|
|
1961 |
x |
x |
x |
x |
x |
x |
x |
x |
x |
x |
x |
x |
x |
x |
x |
0.32 |
x |
|
Table 4. Results of bootstrap moving correlation and response functions, forward evolutionary correlation and response functions and backward correlation and response functions of the black alder residual chronology. Predictors are monthly sums of precipitation. The window starts with May of previous year (Mp) and ends with September of current year (S) for the period 1960-2004. Baselength: 36 years. Only significant factors (95% level based on bootstrapping tests) were plotted |
|
Bootstrap correlation significant values for moving intervals |
||||||||||||||||||
|
|
Mp |
Jp |
Jp |
Ap |
Sp |
Op |
Np |
Dp |
J |
F |
M |
A |
M |
J |
J |
A |
S |
|
|
1995 |
x |
x |
x |
x |
x |
x |
x |
x |
x |
x |
x |
x |
x |
x |
x |
x |
x |
|
|
1996 |
x |
x |
x |
x |
x |
x |
x |
x |
x |
x |
x |
x |
x |
x |
x |
x |
x |
|
|
1997 |
x |
x |
x |
x |
x |
x |
x |
x |
x |
x |
x |
x |
x |
x |
x |
x |
x |
|
|
1998 |
x |
x |
x |
x |
x |
x |
x |
x |
x |
x |
x |
x |
x |
x |
x |
x |
x |
|
|
1999 |
x |
x |
x |
x |
x |
x |
x |
x |
x |
x |
x |
x |
x |
x |
x |
x |
x |
|
|
2000 |
x |
x |
x |
x |
x |
x |
x |
x |
x |
x |
x |
x |
x |
x |
x |
x |
x |
|
|
2001 |
x |
x |
x |
x |
x |
x |
x |
x |
x |
x |
x |
x |
x |
x |
x |
x |
x |
|
|
2002 |
x |
x |
x |
x |
x |
x |
x |
x |
x |
x |
x |
x |
x |
x |
x |
x |
x |
|
|
2003 |
x |
x |
x |
x |
x |
x |
x |
x |
x |
x |
x |
x |
x |
x |
x |
x |
x |
|
|
2004 |
x |
0.33 |
x |
x |
x |
x |
x |
x |
x |
x |
x |
x |
x |
x |
x |
x |
x |
|
|
Bootstrap response significant values for moving intervals |
||||||||||||||||||
|
1995 |
x |
x |
x |
x |
x |
x |
x |
x |
x |
x |
x |
x |
x |
x |
x |
x |
x |
|
|
1996 |
x |
x |
x |
x |
x |
x |
x |
x |
x |
x |
x |
x |
x |
x |
x |
x |
x |
|
|
1997 |
x |
x |
x |
x |
x |
x |
x |
x |
x |
x |
x |
x |
x |
x |
x |
x |
x |
|
|
1998 |
x |
x |
x |
x |
x |
x |
x |
x |
x |
x |
x |
x |
x |
x |
x |
x |
x |
|
|
1999 |
x |
x |
x |
x |
x |
x |
x |
x |
x |
x |
x |
x |
x |
x |
x |
x |
x |
|
|
2000 |
x |
x |
x |
x |
x |
x |
x |
x |
x |
0.28 |
x |
x |
x |
x |
x |
x |
x |
|
|
2001 |
x |
x |
x |
x |
x |
x |
x |
x |
x |
x |
x |
x |
x |
x |
x |
x |
x |
|
|
2002 |
x |
x |
x |
x |
x |
x |
x |
x |
x |
x |
x |
x |
x |
x |
x |
x |
x |
|
|
2003 |
x |
x |
x |
x |
x |
x |
x |
x |
x |
x |
x |
x |
x |
x |
x |
x |
x |
|
|
2004 |
x |
x |
x |
x |
x |
x |
x |
x |
x |
x |
x |
x |
x |
x |
x |
x |
x |
|
|
Bootstrap correlation significant values for forward evolutionary intervals |
||||||||||||||||||
|
1995 |
x |
x |
x |
x |
x |
x |
x |
x |
x |
x |
x |
x |
x |
x |
x |
x |
x |
|
|
1996 |
x |
x |
x |
x |
x |
x |
x |
x |
x |
x |
x |
x |
x |
x |
x |
x |
x |
|
|
1997 |
x |
x |
x |
x |
x |
x |
x |
x |
x |
x |
x |
x |
x |
x |
x |
x |
x |
|
|
1998 |
x |
x |
x |
x |
x |
x |
x |
x |
x |
x |
x |
x |
x |
x |
x |
x |
x |
|
|
1999 |
x |
x |
x |
x |
x |
x |
x |
x |
x |
x |
x |
x |
x |
x |
x |
x |
x |
|
|
2000 |
x |
x |
x |
x |
x |
x |
x |
x |
x |
0.23 |
x |
x |
x |
x |
x |
x |
x |
|
|
2001 |
x |
x |
x |
x |
x |
x |
x |
x |
x |
x |
x |
x |
x |
x |
x |
x |
x |
|
|
2002 |
x |
x |
x |
x |
x |
x |
x |
x |
x |
0.22 |
x |
x |
x |
x |
x |
x |
x |
|
|
2003 |
x |
x |
x |
x |
x |
x |
x |
x |
x |
0.23 |
x |
x |
x |
x |
x |
x |
x |
|
|
2004 |
x |
x |
x |
x |
x |
x |
x |
x |
x |
x |
x |
x |
x |
x |
x |
x |
x |
|
|
Bootstrap response significant values for forward evolutionary intervals |
||||||||||||||||||
|
1995 |
x |
x |
x |
x |
x |
x |
x |
x |
x |
x |
x |
x |
x |
x |
x |
x |
x |
|
|
1996 |
x |
x |
x |
x |
x |
x |
x |
x |
x |
x |
x |
x |
x |
x |
x |
x |
x |
|
|
1997 |
x |
x |
x |
x |
x |
x |
x |
x |
x |
x |
x |
x |
x |
x |
x |
x |
x |
|
|
1998 |
x |
x |
x |
x |
x |
x |
x |
x |
x |
x |
x |
x |
x |
x |
x |
x |
x |
|
|
1999 |
x |
x |
x |
x |
x |
x |
x |
x |
x |
x |
x |
x |
x |
x |
x |
x |
x |
|
|
2000 |
x |
x |
x |
x |
x |
x |
x |
x |
x |
x |
x |
x |
x |
x |
x |
x |
x |
|
|
2001 |
x |
x |
x |
x |
x |
x |
x |
x |
x |
x |
x |
x |
x |
x |
x |
x |
x |
|
|
2002 |
x |
x |
x |
x |
x |
x |
x |
x |
x |
x |
x |
x |
x |
x |
x |
x |
x |
|
|
2003 |
x |
x |
x |
x |
x |
x |
x |
x |
x |
x |
x |
x |
x |
x |
x |
x |
x |
|
|
2004 |
x |
x |
x |
x |
x |
x |
x |
x |
x |
x |
x |
x |
x |
x |
x |
x |
x |
|
|
Bootstrap correlation significant values for backward evolutionary intervals |
||||||||||||||||||
|
1970 |
x |
0.33 |
x |
x |
x |
x |
x |
x |
x |
x |
x |
x |
x |
x |
x |
x |
x |
|
|
1969 |
x |
0.34 |
x |
x |
x |
x |
x |
x |
x |
x |
x |
x |
x |
x |
x |
x |
x |
|
|
1968 |
x |
0.34 |
x |
x |
x |
x |
x |
x |
x |
x |
x |
x |
x |
x |
x |
x |
x |
|
|
1967 |
x |
0.35 |
x |
x |
x |
x |
x |
x |
x |
x |
x |
x |
x |
x |
x |
x |
x |
|
|
1966 |
x |
0.30 |
x |
x |
x |
x |
x |
x |
x |
x |
x |
x |
x |
x |
x |
x |
x |
|
|
1965 |
x |
0.31 |
x |
x |
x |
x |
x |
x |
x |
x |
x |
x |
x |
x |
x |
x |
x |
|
|
1964 |
x |
0.31 |
x |
x |
x |
x |
x |
x |
x |
x |
x |
x |
x |
x |
x |
x |
x |
|
|
1963 |
x |
0.30 |
x |
x |
x |
x |
x |
x |
x |
x |
x |
x |
x |
x |
x |
x |
x |
|
|
1962 |
x |
0.31 |
x |
x |
x |
x |
x |
x |
x |
x |
x |
x |
x |
x |
x |
x |
x |
|
|
1961 |
x |
x |
x |
x |
x |
x |
x |
x |
x |
x |
x |
x |
x |
x |
x |
0.39 |
x |
|
|
Bootstrap response significant values for backward evolutionary intervals |
||||||||||||||||||
|
1970 |
x |
x |
x |
x |
x |
x |
x |
x |
x |
x |
x |
x |
x |
x |
x |
x |
x |
|
|
1969 |
x |
x |
x |
x |
x |
x |
x |
x |
x |
x |
x |
x |
x |
x |
x |
x |
x |
|
|
1968 |
x |
x |
x |
x |
x |
x |
x |
x |
x |
x |
x |
x |
x |
x |
x |
x |
x |
|
|
1967 |
x |
x |
x |
x |
x |
x |
x |
x |
x |
x |
x |
x |
x |
x |
x |
x |
x |
|
|
1966 |
x |
x |
x |
x |
x |
x |
x |
x |
x |
x |
x |
x |
x |
x |
x |
x |
x |
|
|
1965 |
x |
x |
x |
x |
x |
x |
x |
x |
x |
x |
x |
x |
x |
x |
x |
x |
x |
|
|
1964 |
x |
x |
x |
x |
x |
x |
x |
x |
x |
x |
x |
x |
x |
x |
x |
x |
x |
|
|
1963 |
x |
x |
x |
x |
x |
x |
x |
x |
x |
x |
x |
x |
x |
x |
x |
x |
x |
|
|
1962 |
x |
x |
x |
x |
x |
x |
x |
x |
x |
x |
x |
x |
x |
x |
x |
x |
x |
|
|
1961 |
x |
x |
x |
x |
x |
x |
x |
x |
x |
x |
x |
x |
x |
x |
x |
x |
x |
|
The increment behaviour of black alder in individual years is also an interesting issue. Only the analysis of signature years supplies the knowledge on this problem. Positive and negative years are shown on Fig. 2. There were almost twice as many positive years as negative ones. Therefore, the homogeneity of increment responses of trees to positive environmental signals was stronger than to negative signals. The climatic diagrams made for both kinds of years showed a significant role of temperature, precipitation, and sunshine on the process of diameter growth of black alder. In the case of temperature a negative role of a high temperature in May of the previous year and a positive role of a high temperature during the growing season (May – August) were confirmed (Fig. 6). However they were not as important in the case of positive years. A positive role of a high temperature in January, but only in positive years, was also revealed (Fig. 6). In negative signature years there was usually a large amount of sunshine during the previous growing season and a small amount during the current season. A reversed situation was observed in the case of positive years (Fig. 6). Besides, there was deficit of sunshine during winters of positive years. A pluvial diagram of signature years showed that during negative years there occurred a relatively low precipitation in June of the previous year, and in autumn and winter preceding a given growing season (Fig. 6). This fact corresponded with the level of sunshine during these periods (Fig. 5). Usually a high precipitation goes together with a low sunshine. In positive years the situation was reversed (Fig. 6). This was partly confirmed by results of correlation and regression analyses (Table 4, Fig. 5). Also interesting was the fact that in positive years as well as in negative ones precipitation in the growing season was lower than the long-term average (Fig. 6). Thus the analysis of signature years gave a little more information on the role of precipitation than statistical analyses.
| Fig. 6. Climatic diagrams of signature years: positive years – line and squares, negative years – line and circles. Gray area – mean monthly values for the period 1960–2004 |
![]() |
DISCUSSION
The climatic model of diameter increment for mature trees of black alder is quite complicated. It depends on weather conditions of the previous year and during months ahead of the growing season, as well as on weather during the period of cambium activity. In short: black alder produces wide annual rings during years with warm January, warm and early spring, and warm sunny summer. Moreover, May in the previous year should be cool, June cloudy and rainy, while July and October warm. Pluvial conditions of the site where the investigated black alder trees were growing corresponded to the pluvial optimum for black alder as described by Denisiuk [5], Marek [18], and Ellenberg [7]. Ample moisture supply was most likely the cause of a small effect of the pluvial factor on activity of black alder cambium. However, precipitation occurring in autumn and winter before the growing season was important for growth of trees of this species. Snow is a reservoir of water which is gradually transferred to the soil during spring, a crucial season for trees. Then, the precipitation during the growing season has no significant effect on variation of tree-ring width. Black alder trees growing on a site amply supplied by surface and underground waters well coped with precipitation deficit during the growing season. Also the surplus of precipitation was not the problem for them. The results of studies on young trees of this species were however different [20]. According to Marek [18] black alder trees die only after a rapid lowering of the ground water table. A negative role of a high temperature of May of the previous year is difficult to be interpreted. The increment effect in this case is of a long-term nature because it concerns the next growing season. However it is a strong and stable relationship. A low temperature in May when young shoots and buds are not resistant to frost results in their damage. According to research on black alder hitherto [7] the frost resistance of its shoots and buds increases starting from September and reaches the maximum in February. Beginning with March shoots and buds become gradually more and more sensitive to frost. As a matter of fact there was no relationship found between temperature of February and diameter increment, while this relationship was quite evident in the case of temperature of January. Strong long-lasting frosts in January had a negative effect on tree condition causing drop in their diameter increment during coming growing season. This is in agreement with observations of Jurkevič [16]. The relationship between temperature of March and the radial increment indicated that black alder prefers a warm early spring. Sooner the winter ends, earlier the cambium becomes active. Also the root system begins to develop at the end of winter, and the intensity of this development depends on the amount of heat during that period [20, 22]. The size of the root hair system affects the transpiration and delivery of mineral salts and biogenes necessary for photosynthesis during the growing season.
According to McVean [21] black alder is a light demanding species, mainly when trees are mature. According to our study it requires a large amount of the direct solar radiation during the growing season. This radiation is utilized by trees as an additional portion of heat in spring and late summer. A high air temperature and warming up of leaves and shoots by direct solar rays intensifies the processes of transpiration and photosynthesis, and this is reflected in wood production activity of vascular cambium. It is interesting that weather conditions in June, when cambium is active, do not significantly affect the variation of tree-ring width in black alder. Temperature and precipitation in that month, in spite of their great annual variation, are in optimum of requirement by trees of this species.
Black alder does not store the reserves for winter and the following growing season [34]. The positive relationship between the temperature of July and October of the previous year and the increment of the current year indicated that the process of biogene accumulation has, however, a certain effect on tree condition during the subsequent year.
Black alder has very similar heat requirements during the growing season as other broad leaf species growing in the region of the Swiętokrzyskie Mountains, but it is much less susceptible to winter frosts than for example Scots pine, European fir, European beech or white willow, and also species foreign to Poland as Douglas fir and horse chestnut [8, 10, 31, 32, 33]. Contrary to these species black alder does not react negatively in respect of increment to precipitation deficit. Most likely this is the result of the nature of moisture relations in the site constantly supplied with surface and underground waters.
CONCLUSIONS
A high quality tree-ring chronology of black alder worked out for the period from 1960 to 2004 was the basis of the search for climate – diameter increment relationships. This chronology is a local black alder increment standard made on the basis of homogeneous tree-ring series. The climate – radial increment model presented in this paper concerns mature trees growing on a moist site. This fact determined the main precipitation – radial increment relationships, while temperature determined a high homogeneity of increment responses of trees.
Temperature prevailing during autumn and winter of the previous year affected the condition of trees and their diameter growth. However black alder trees suffered because of deficit of heat in spring and summer of the current year. To lower this deficit trees utilized heat supplied by the direct solar radiation. The direct radiation increases air temperature and directly supplies trees with heat energy. Thus it plays the important role in diameter growth of black alder. The value of radial increment in black alder depended not only on weather conditions prevailing during a given growing season. Thermal conditions prevailing in late spring (low temperature in May) unfavourably affected the state of young shoots, but they had a positive effect on diameter increment during the next year.
The pluvial factor in a site with a high stable underground water table played a negligible role in annual variation of radial increment. However, a favourable effect of precipitation during a cool period before the growing season was observed. It is therefore necessary to find out what is the role of precipitation on dry sites where stands with black alder in their species composition also occur.
REFERENCES
Biondi F, Waikul K., 2004. DENDROCLIM2002: A C++ program for statistical calibration of climate signals in tree-ring chronologies. Comp. Geosc. 30: 303-311. Brzeziecki B., Kienast F. 1994. Classifying the life-history strategies of trees on the basis of the Grimian model. For. Ecol. Manage. 69: 167-187. Chałupka W., Giertych M., Królikowski Z. 1976. The effect of cone crops in Scots on tree diameter increment. Arbor. Kórnickie 21: 361-366. Cook E.R, Holmes R.L. 1986. Users manual for program Arstan. In: Holmes R.L., Adams R.K., Fritts H.C. (eds.). Tree-ring chronologies of western North America: California, eastern Oregon and northern Great Basin. Chronology Series 6, Labor. of Tree-Ring Research, Univ. of Arizona, Tucson: 50-65. Denisiuk Z. 1963. Roslinnosc lasów lisciastych w okolicach Lesnej Podlaskiej [Vegetation of broadleaf forests in surroundings of Lesna Podlaska]. PTPN Wydz. Mat.-Przyr. Prace Kom. Biol. 27, 2: 1-132 [in Polish]. Eckstein D., Bauch J. 1969. Beitrag zur Rationalisirung eines dendrochronologischen Verfarens und zur Analyse seiner Aussagesicherheit [Contribution to the rationalization of a dendrochronological procedure to the analysis of confidence]. Forstw. Cbl. 88(4): 230-250 [in German]. Ellenberg H. 1978. Vegetation Mitteleuropas mit den Alpen in ökologischer Sicht [Vegetation of central Europe and Alps in ecological aspect]. Verlag Eugen Ulmer, Stuttgart [in German]. Feliksik E., Wilczyński S., Podlaski R. 2000. Wpływ warunków termiczno-pluwialnych na wielkosc przyrostów radialnych sosny (Pinus sylvestris L.), jodły (Abies alba Mill.) i buka (Fagus sylvatica L.) ze Swiętokrzyskiego Parku Narodowego [The influence of air temperature and atmospheric precipitation on radial increment of pine (Pinus sylvestris L.), fir (Abies alba Mill.) and beech (Fagus sylvatica L.) from Swiętokrzyski National Park]. Sylwan 144(9): 53-63 [in Polish]. Feliksik E., Wilczyński S. 2004. Lata wskaznikowe daglezji (Pseudotsuga menziesii (Mirb.) Franco) w Polsce [Signature years of Douglas fir (Pseudotsuga menziesii (Mirb.) Franco) in Poland]. Sylwan 148(12): 39-47 [in Polish]. Feliksik E., Wilczyński S. 2004. Klimatyczne uwarunkowania przyrostu radialnego daglezji zielonej (Pseudotsuga menziesii (Mirb.) Franco) rosnącej na obszarze Polski [Climatic conditions of the radial increment of Douglas fir (Pseudotsuga menziesii (Mirb.) Franco) in Poland]. Sylwan 148(12): 31-38 [in Polish]. Fritts H.C. 1976. Tree-rings and climate. Acad. Press, New York, London, San Francisco. Fritts H.C., Blasing T.J., Hayden B.P., Kutzbach J.E. 1971. Multivariate techniques for specifying tree-growth and climate relationships and for reconstructing anomalies in paleoclimate. J. Appl. Meteorol. 10(5): 845-864. Guiot J., Berger A.L., Munaut A.V., Till C. 1982. Response functions. In: Hughes M.K., Kelly P.M., Pilcher J.R., LaMarche V.C. (eds). Climate from tree rings. Cambridge Univ. Press: 38-45. Holmes R.L. 1986. Quality control of crossdating and measuring. Users manual for computer program COFECHA. In: Holmes R.L., Adams R.K., Fritts H.C. (eds.). Tree-rings chronologies of western North America: California, eastern Oregon and northern Great Basin. Chronology Series 6, Labor. of Tree-Ring Research, Univ. of Arizona, Tucson: 41-49. Holmes R.L., Lough J.M. 1999. Users Manual for Program RESPO. Laboratory of Tree-Ring Research, University of Arizona, Tucson, AZ. Jurkevič I.D., Geltman V.S., Lovčij N.F. 1968. Tipy associacii černoolchowvych lesov. [Types of associations of black alder forests] Akad. Nauk BSSR, Inst. Eksper. Bot. Izd. Nauka i Techn. Moskwa [in Rusian]. Kelly P.M., Murno M.A.R., Hughes M.K., Goodess C.M. 1989. Climate and signature years in west European oaks. Nature 340: 57-60. Marek S. 1965. Biologia i stratygrafia torfowisk olszynowych w Polsce [Biology and stratigraphy of alder bogs in Poland]. Zesz. Prob. Post. Nauk Roln. 57: 1-264 [in Polish]. McVean D.N. 1953. Biological flora of the British Isles. Alnus glutinosa (L.) Gaertn. (A. rotundifolia Stokes). J. Ecol. 41(1): 447-446. McVean D.N. 1955. Ecology of Alnus glutinosa (L.) Gaertn. 1. Fruit formation. J. Ecol 43(1): 46-60. McVean D.N. 1956. Ecology of Alnus glutionsa (L.) Gaertn. 3. Seedling establishment. J. Ecol. 44(1): 195-218. McVean D.N. 1956. Ecology of Alnus glutionsa (L.) Gaertn. 4. Root system. J. Ecol. 44(1): 219-225. Pancer-Kotejowa E., Zarzycki K. 1980. Zarys ekologii [The outline of ecology]. In: Białobok S. (ed) Nasze drzewa lesne: Olsze (Alnus Mill.) [Our forest trees: Alders (Alnus Mill.)]. Instytut Dendrologii PAN, Warszawa-Poznań: 229-257 [in Polish]. Schweingruber F.H. 1992. Event years and pointer years. Tree-Ring and Environment Ystad Conference Materials-Lundqua Report 34: 288-292. Spain J, Pilcher J.R. 1994. Signature years in European oak chronologies A.D. 1600-1750 and possible climatic causes. In: Frenzel B (ed), Climatic trends and anomalies in Europe 1675-1715, Paleoclimate Res. 13: 123-131. Stachak A. 1969. Fenologiczne pory roku na terenie Szczecina [Phenological seasons of the year in Szczecin]. Zesz. Nauk. WSR w Szczecinie 61: 291-546. Stachak A. 1977. Fenologiczne pory roku na terenie Szczecina (lata 1964-1973) [Phenological seasons of the year in Szczecin (1964 – 1973)]. Zesz. Nauk. AR w Szczecinie 61: 291-300 [in Polish]. Tessier L., Guibal F., Schweingruber F.H. 1997. Research strategies in dendroecology and dendroclimatology in mountain environments. Clim. Change 36(3-4): 499-517. Wilczyński S., Skrzyszewski J. 2002. Dependence of Scots pine tree-rings on climatic conditions in southern Poland (Carpathian Mts.). EJPAU 5, 2, Series Forestry. Wilczyński S. 2003. Modele “klimat-przyrost radialny” sosen z Tatr, Pienin i Ojcowa [The climate-radial growth models of Scots pines from the Tatra, Pieniny and Ojców National Parks]. Sylwan 147(12): 27-35 [in Polish]. Wilczyński S., Podlaski R. 2005. Model klimatyczny aktywnosci kambium waskularnego wierzby białej (Salix alba L.) ze Swiętokrzyskiego Parku Narodowego [A climatic model of cambium vascular activity for white willow (Salix alba L.) from the Swiętokrzyski National Park]. Sylwan 149(7): 14-22 [in Polish]. Wilczyński S., Podlaski R. 2005. The effect of air temperature and precipitation on growth rings of elderberry (Sambucus nigra L.) in Swiętokrzyski National Park. J. Fruit Ornam. Plant Res. 13: 79-89. Wilczyński S., Podlaski R. 2007. The effect of climate on radial growth of horse chestnut (Aesculus hippocastanum L.) in the locality situated in Swiętokrzyski National Park (central Poland). J. For. Res. 12 [in press]. Zimka J.R., Stachurski A. 1976. Vegetation as a modifier of karbon and nitrogen transfer to soil various types of forest ecosystems. Ekol. Pol. 24(4): 493-514.
Accepted for print: 18.01.2007
Sławomir Wilczyński
Department of Forest Protection and Forest Climatology,
Agricultural University of Cracow, Poland
Al. 29 Listopada 46, 31-425 Cracow, Poland
Phone: +48 12 662 53 23
email: rlwilczy@cyf-kr.edu.pl
Rafał Podlaski
Department of General Biology and Nature Protection,
Institute of Biology, Pedagogical University of Kielce, Poland
Swietokrzyska 15, 25-406 Kielce, Poland
Phone: +48 41 349 63 22
email: r_podlaski@pro.onet.pl
Responses to this article, comments are invited and should be submitted within three months of the publication of the article. If accepted for publication, they will be published in the chapter headed 'Discussions' and hyperlinked to the article.





