Volume 6
Issue 1
Food Science and Technology
JOURNAL OF
POLISH
AGRICULTURAL
UNIVERSITIES
Available Online: http://www.ejpau.media.pl/volume6/issue1/food/art-10.html
CHANGES IN HEADED AND GUTTED BALTIC HERRING DURING IMMERSED SALTING IN BRINE WITH THE ADDITION OF ACETIC ACID PART 2. INTENSITY OF PROTEOLYSIS
Edward Kołakowski, Bożena Bednarczyk
The amount of and changes in the products of protein hydrolysis (TCA-soluble and TCA-insoluble biuret positive products, brine extractable protein, non-protein nitrogen, amino acid nitrogen and others) were examined in salted flesh of headed and gutted Baltic herring immersed in 16% NaCl brine with the addition of acetic acid (0, 1, 2, 3, 4, 5, 6, 7%), as well as in brine itself, after one and two weeks of storage at a temperature of 8 ± 1°C. The addition of acetic acid into brine accelerated proteolysis in flesh noticeably, at the same time retarding diffusion of muscle protein into brine. After the first week of fish maturation, the maximum proteolysis was observed at a pH of 3.8, and after the second week of maturation—at a pH of 4.2 to 4.8. Within a more acidic pH range, TCA-soluble products prevailed in flesh, with a minimum share of TCA-precipitated brine extractable protein, while in a less acidic range there were proportionately more products from the latter group, even t
Key words:
Baltic herring, immersed salting, acetic acid addition, pH vs. proteolysis.
INTRODUCTION
Most authors believe that the process of maturation of salted fish is attributable mainly to a proteolytic reaction caused by digestive enzymes released from pyloric coecae and other intestines [15, 27]. Therefore, in the process of maturation of headed and gutted fish, special enzymatic substances or internal organs of other animals rich in enzymes are often used [12, 25, 26]. This “artificial” ripening of headed and gutted fish does not, however, produce fully satisfactory results as the product often acquires atypical qualitative properties.
One of the methods of acceleration of the natural process of maturation of salted fish is reducing the salt concentration in flesh—known as mild salting [27]. However, an excessive reduction in the concentration of salt, as the main preservative agent, is impossible, for it can lead to the spoilage of fish [14]. On the other hand, the addition of chemical preservatives into brine in adequately large quantities is not always permitted by health authorities, mainly for health safety reasons.
The existing knowledge of the application of acid addition during fish salting is at least limited [8, 10, 13, 29, 33] and still insufficient, particularly, with regard to the influence of acids on the process of maturation of salted and marinated headed and gutted fish. The removal of active viscera and washing of fish before salting reduce the rate of proteolysis considerably [32].
Acetic acid is commonly used in producing fish marinades [19, 21] and regarded as an additive completely safe for health, not requiring any limitation. Concurrently, owing to a low dissociation constant, acetic acid exhibits specific bactericidal activity [33], and additionally, removes an unpleasant fishy odour [4].
The aim of this research was to examine the effect of different concentrations of acetic acid introduced into brine on the process of maturation of immersed salted headed and gutted Baltic herring, with particular regard to the process of proteolysis.
MATERIALS AND METHODS
Fish
Baltic herring (Clupea harengus membrans) were caught in Pomeranian Bay in March, stored in ice, and delivered to the laboratory while rogor mortis was still present. The herring specimens were classified as grades “D” and “S” (18–26 cm in total length), with gonads at maturity stages III–V on Mayer’s scale. The fish were deiced, headed and gutted, cleaned and drained.
Sample preparation
Headed and gutted herring (sample weight: 750 g, in three repetitions) were immersed in a 16% NaCl solution containing 0, 1, 2, 3, 4, 5, 6, or 7 % acetic acid, so that the weight ratio of fish to brine was 1:1. The samples were stored in glass jars 1.5 liters in volume, with a tight lid, in a cooling chamber at a temperature of 8°C for two weeks.
The samples were carefully removed from the jars without a loss in brine, placed on a filter of dense gauze in a funnel, and left for 20 min at 8°C to drain the brine.
Determination of nitrogen fractions
Kjeldahl’s method in semiautomatic equipment was used for the determination of total nitrogen (TN) in salted flesh, brine and particular extracts. A sample (0.5 g, 1 ml or 5 ml, respectively) with the addition of a pinch of selenium mixture (FOCH, Gliwice, Poland), and subsequently, H2SO4 (10 ml) was inserted into the digestion tube and digested in a 6 1007 Digester digestion system (Tecator, Sweden) at 400°C, and then, distilled in a Kieltec System 1025 distillation unit. The distillate was collected for posterior titration with 0.1N NaOH.
Non-protein nitrogen (NPN) was determined after homogenisation of 20 g of flesh with 250 ml of 5% trichloroacetic acid (TCA), or after vigorously mixing 10 ml of brine or brine extract of salted flesh with an equal volume of 10% TCA. Next, the homogenate or the mixture was put away for 30 minutes and filtered through filtering blotting paper No. 386 (Whatman) into dry bottles from dark glass with a ground-in stopper. The obtained extracts were sampled (10 ml each, in three repetitions) for nitrogen determination by the method as described above.
Determination of protein fractions
Total soluble protein (TSP), both in brine and in brine extracts of salted herring flesh, was determined by biuret method [5]. A sample (1 ml) was mixed with 4 ml biuret reagent, and after settling for 15 minutes at room temperature, absorbency was measured in a Pye Unicam spectrophotometer, type N502, at 540 nm against a blank test. The protein content was read from the standard curve plotted against the solutions of bovine serum albumin (Fraction V).
For the extraction of flesh, a 16% NaCl solution with the addition of CH3COOH was used, of the same composition as brine in the respective samples. A flesh sample (20 g) was homogenised with 250 ml solution for 30 s in an MPW-302 homogeniser (Mechanika Precyzyjna, Warsaw, Poland) at 10 thousand rev min–1. The homogenate was put away for 30 minutes at 5°C, and after repeated mixing, filtered through filtering blotting paper as described above.
TCA-precipitated protein (TCA-PP) in brine was determined from a difference between total nitrogen and non-protein nitrogen, multiplied by the coefficient of 6.25.
TCA-soluble biuret positive products of protein hydrolysis (TCA-SBPPPH) were determined from a difference between TSP and TCA-PP.
Other determinations
Mean content of respective fractions in the “whole” sample (flesh + brine) was determined from the sum of a given fraction present in the total weight of salted fish and the total volume of brine sample, divided by the weight of fresh fish collected for this sample and multiplied by 1.000.
pH value was measured by using an N 517 OE numerical pH-meter (TEL-EKO S.A., Wrocław, Poland) equipped with a slab electrode.
RESULTS
Changes in total nitrogen and non-protein nitrogen content in flesh
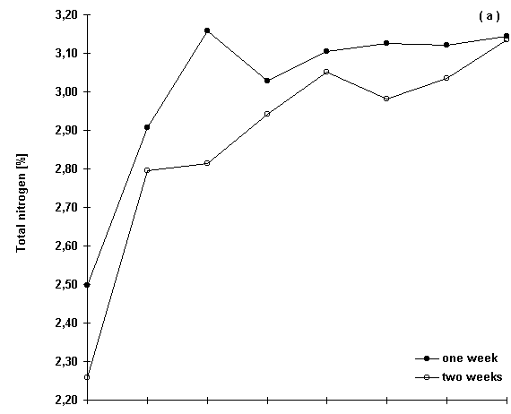
An increasing acid concentration in brine brought about an increase in the total nitrogen content in flesh of salted Baltic herring due to its reduced water-holding capacity at a lower pH [11]. The largest increase in total nitrogen in flesh was observed at a 1 – 2% acetic acid concentration in brine, and at higher acid concentrations, the total nitrogen content was even (Fig. 1a). The extension of salting time to two weeks caused a relative decrease in the total nitrogen content in flesh, particularly noticeable at a 1 – 2% and 4 – 6% acetic acid concentration (Fig. 1a). This may indicate that, at these acid concentrations in brine, proteolytic processes in flesh progress fastest, forming soluble products of protein hydrolysis, which diffuse from flesh to brine. This is confirmed by a considerably larger increase in non-protein nitrogen between the first and second week of salting within the acid concentration range of 1–2% and 4–6% than at the other concentrations (Fig . 1b). However, after one week of salting, the highest non-protein content in flesh was observed at a 3% acetic acid concentration in brine (Fig. 1b).
Non-protein nitrogen expressed in percent relative to total nitrogen confirms the occurrence of the discussed maxima of proteolysis (Fig. 1c).
| Fig. 1. The effect of the acetic acid concentration in brine on the total nitrogen content (a), non-protein nitrogen content (b) and the percentage share of non-protein nitrogen in total nitrogen (c) in the flesh of salted Baltic herring after one (·—· ) and two (o—o) weeks of fish maturation at 5 ± 1°C |
![]() |
![]() |
![]() |
Brine extractability of salted flesh protein
Brine extractability of protein in flesh of salted herring dropped at a rate close to exponential along with an increase in the acetic acid concentration in brine (Fig. 2). At a 5 – 7% acetic acid concentration, brine extractability of protein was minimal after one week and zero after two weeks of fish maturation. In contrast, at lower acid concentrations (1 – 3%), a certain increase in protein extractability in salted flesh was observed (Fig. 2a) between the first and second week of maturation, also when converted into crude protein (Fig. 2b). This may point to the fact that, in a less acidic environment, apart from TCA-soluble nitrogen, TCA-precipitated products of proteolysis are formed in flesh, too.
| Fig. 2. The effect of the acetic acid addition into brine on the extractability of salted flesh protein in the brine solution after one (–·–) and two (–o–) weeks of maturation of Baltic herring (headed and gutted) at 5 ± 1°C |
![]() |
![]() |
Content of soluble protein in brine
The soluble protein content in brine (Fig. 3) dropped at a rate close to logarithmic along with an increase in the acetic acid concentration in brine. Even the lowest concentration of this acid (1%) reduced the amount of protein determined by biuret method by more than 38%, irrespective of the time of maturation of fish, and the amount of TCA-precipitated protein more than twice after one week of maturation and around three times after two weeks of maturation, relative to the control sample (brine without the acetic acid addition).
Into acetified brine diffused mainly TCA-soluble products of protein hydrolysis (Fig. 3c). The optimum of their formation occurred at a 3% acetic acid concentration in brine after one week of fish maturation, while after two weeks of maturation the optimum broadened to the range of 1 to 5% acetic acid. Concurrently, the highest acid concentrations (6–7%) stopped almost completely the increment in TCA-soluble products of protein hydrolysis in brine between the first and second week of fish maturation.
| Fig. 3. The effect of the acetic acid concentration on the protein content in brine after one (–·–) and two (–o–) weeks of maturation of immersed salted Baltic herring (headed and gutted) at 5 ± 1°C: a – protein determined by biuret method, b – TCA-precipitated protein (calculated from the difference between total nitrogen and non-protein nitrogen and multiplied by 6.25), c – TCA-soluble biuret-positive products of protein hydrolysis (from the difference = a – b) |
![]() |
![]() |
Total content of products of protein hydrolysis (flesh + brine) relative to Ph
Since the only source of protein hydrolysis products formed during salting is fish flesh, it was decided that the products present in brine would be added to the products present in flesh and expressed as converted into 100 g of the initial weight of flesh. In this calculation, the changing proportions of solid fractions to liquid fractions during herring maturation in the respective samples were naturally taken into account. In this way, the content of products of protein hydrolysis in the “whole” sample was obtained, including the products diffusing from flesh to brine.
Based upon the content of selected indices in the “whole” sample, the optimum pH ranges were determined in which the maxima of proteolysis occurred. After one-week fish maturation, one maximum of total soluble nitrogen (TSN) was recorded at a pH of around 3.8. After two weeks of salting, the maximum occurring at this pH remained; however, apart from it, a new wider and larger maximum appeared within the pH range of 4.2 to 4.8 (Fig. 4). The increment in products of protein hydrolysis in the whole sample at a pH of 3.5 to 4.2 was prompted by both brine-soluble protein (SP) and non-protein nitrogen (NPN), while at a pH of over 4.5 the latter predominated. This points to the influence of the time of fish maturation on the process of proteolysis.
| Fig. 4. The relationship between pH and the total content of products of protein hydrolysis in the whole sample of salted Baltic herring (flesh + brine) as converted into 100 g of flesh after one and two weeks of maturation at 5 ± 1° C |
![]() |
![]() |
![]() |
In a less acidic environment — a pH of over 4.5, the total content of TSN was substantially higher than in a strongly acidic environment. This related to both SP and NPN. The increment in the total content of NPN between the first and second week of fish maturation was also larger in a less acidic environment than in the acidic environment. For instance, at a pH of 4.5, it amounted to 39.6%, at a pH of 5 to 38.2%, and at a pH of 3.8 barely to 11.4% (Fig. 4c).
DISCUSSION
The addition of acetic acid into brine clearly accelerates the process of proteolysis in immersed salted headed and gutted Baltic herring, probably by activating lysosomal enzymes. TCA-soluble nitrogen increases and brinelike solution extractable protein decreases during maturation. However, in herring salted in lightly acetified brine (1 to 3% acetic acid), apart from a general decrease in the extractability of proteins, a parallel trend is observed toward their relative increment between the first and second week of maturation, which indicates that, in a less acidic environment, the forming products of proteolysis have a greater molecular weight than in a strongly acidic environment. The result corresponds well with the results obtained by Kiesvaara [10] from barrel-salted Murmansk herring.
The ranges of the optimum proteolytic activity relative to pH change during the maturation of salted herring flesh.
After the first week of maturation, the main optimum of proteolytic activity occurs at a pH of 3.8 to 4.2, depending on the nitrogen fraction examined (Fig. 4). This should probably be ascribed to cathepsin D activity. This enzyme is known as a major proteinase that degrades fish muscle proteins [18, 24, 28] - also in flesh of Baltic herring [9] - and is characterised by the optimum acid pH near 4.0 [20], even though it can also be active within a wider pH range, but not above a pH of 6.0 [16, 24]. Huang and Tappel [6] and Tappel [31] demonstrated that cathepsin D initiates protein hydrolysis and produces oligopeptides that are further broken down by other cathepsins, such as cathepsin C or B. A smaller optimum of proteolytic activity, detected at a pH of 3.4–3.6, probably corresponds to cathepsin E, which, according to Shenderjuk [27], exhibits the optimum activity at a pH of 2.5–3.5.
After two weeks of fish maturation, the first optimum disappeared completely and the second optimum decreased; however, another (third) optimum pH of proteolytic activity appeared, shifted in a more alkaline direction, i.e., toward a pH of 4.2 to 4.8. It was wider and more effective than the second optimum, particularly with regard to an increment in non-protein nitrogen (Fig. 4c). This third optimum of proteolytic activity should probably be associated mainly with the activity of cathepsin B and other cathepsins which act optimally at a less acidic pH, such as A, C and L, and whose occurrence in fish muscle tissue has been confirmed by many authors [3, 7, 17, 20, 30]. Sherekar et al. [28] reported that, in tilapia, proteolysis at a pH of 5.5 was mediated by both cathepsins B and D, while at a pH of 6.5 the participation of cathepsin B was evident. Cathepsin B, although may cleave certain precursor proteins, however such proteolytic conversion commonly require limited proteolysis on the C-t erminal side of a pair of basic amino acid residues [1]. Cathepsin B1 activity was shown to be essential for the degradation of collagen by lysosomal extracts [2].
The complete disappearance of the first peak and the decrease in proteolytic activity of the second peak after the first week of fish maturation can be explained as an inhibitory effect of high NaCl concentrations on enzymes active in these pH ranges. Cathepsin D is known for its high susceptibility to high NaCl concentrations [23, 24], although Noda et al. [22] demonstrated that the inhibition of proteolytic activity of acid proteinases in the presence of 15 to 20% NaCl was much lower in the sarcoplasmic proteins from sardine than in casein and hemoglobin.
The acid addition clearly prevents the diffusion of muscle proteins into brine during immersed salting of headed and gutted Baltic herring. This relates particularly to the fraction of TCA-precipitated protein and results probably from isoelectric precipitation of proteins in herring flesh, due to which they lose the ability to diffuse into brine.
TCA-precipitated protein diffuses into standard brine (without the acid addition) to a large degree. Into acetified brine diffuse mainly non-TCA-precipitated products of protein hydrolysis, which yield a positive reaction to the biuret reagent (Fig. 3). The correlation between these fractions depends upon pH of flesh and the time of maturation of salted Baltic herring.
The addition of acetic acid into brine, applied in this research (1 to 7%), made it possible to examine its effect within a wide range of concentrations. The optimum of proteolysis, lying in a strongly acidic pH range (below 4.0) and requiring an addition of over 3% acetic acid, is more typical of fish marinades than of salted fish. The obtained results indicate that, even at a high salt concentration in brine (16%), a 4–6% acetic acid addition clearly enhances enzymatic proteolysis in the flesh of Baltic herring. Such a large acid addition, however, is not suitable for use with salted fish, mainly on account of the sensory properties of flesh, which has been described in the previous paper [11]. In the case of salted fish, solely concentrations of acetic acid in brine, below 3%, and preferably those lying in the range of 1 to 2%, can be practically applied. The effect of very low acetic acid concentrations in brine on the process of maturation of immersed salted Baltic herring will be th
e subject of the next paper.
CONCLUSIONS
The addition of acetic acid (1-7%) into brine (16% NaCl) clearly accelerates the process of proteolysis in immersed salted headed and gutted Baltic herring, probably by activating lysosomal enzymes.
The ranges of the optimum proteolytic activity relative to pH change during the maturation of salted herring flesh. Within a more acidic pH range, TCA-soluble products prevailed in flesh, with a minimum share of TCA-precipitated brine extractable protein, while in a less acidic range there were proportionately more products from the latter group, even though the absolute quantity of TCA-precipitated brine extractable protein clearly decreased along with the acid concentration in brine.
The acetic acid addition clearly prevents the diffusion of muscle proteins into brine during immersed salting of headed and gutted Baltic herring. This relates particularly to the fraction of TCA-precipitated protein.
REFERENCES
Aronson Jr N. N., Barrett A. J., 1978. The specifity of cathepsin B. Hydrolysis of glucagon at the C-terminus by a peptidylpeptidase mechanism. Biochem. J. 171, 759-765. Burleigh M. C., Barrett A. J., Lazarus G. S., 1974. Cathepsin B1. A lysosomal enzyme that degrades native collagen. Biochem. J. 137, 387-398. Del Rosario R. R., Maldo S. M., 1984. Biochemistry of patis formation I. Activity of cathepsins in patis hydrolysates. Phil. Agr. 67, 167-175. El-Sahn M. A., Youssef M. M., Moharram Y. G., 1990. Edible products from pelagic bissaria (Atherina mochon) fish. Nahrung 34, 47-52. Gornall A. G., Bardavill C. J., David M. M., 1949. Determination of serum proteins by means of the biuret reaction. J. Biol. Chem. 177, 751-766. Huang F. L., Tappel A. L., 1971. Action of cathepsin C and D in protein hydrolysis. Biochem. Biophys. Acta 236, 739-749. Iwata K., Nakai N., Kobashi K., Hase J., 1977. Some enzymatic properties of cathepsin A from carp white muscle. Bull. Jpn. Soc. Sci. Fish. 43, 307-314. Jasińska M., 1996. Wpływ wybranych czynników na szybko¶ć dojrzewania solonych ¶ledzi. [Effect of selected factors on maturation rate of salted herring] Publication of Univ. of Agric in Szczecin. Rozprawy 171 [in Polish]. Karvinen V-P., Bamford D.H., Granroth B., 1982. Changes in muscle subcellular fractions of Baltic herring (Clupea harengus membras) during cold and frozen storage. J. Sci. Food Agric. 33, 763-770. Kiesvaara M., 1975. On the soluble nitrogen fraction of barrel-salted herring and semi-preserves during ripening. Academic dissertation, Tech. Res. Centre of Finland, Helsinki, Publication 10, 1-99. Kołakowski E., Bednarczyk B., 2002. Changes in headed and gutted Baltic herring during immersed salting in brine with the addition of acetic acid. Part 1 Weight losses, colour of flesh and its sensoric properties. EJPAU Food Sci. Technol., 5(2) www.ejpau.media.pl, art-09pdf. Konstantinova L. L., Pahomova K. I., 1966. Primjenienije fermentativnych preparatov dla ylucznjenija cozrevanija solenoj atlantickoj sjeldi. [Use of enzymatic preparations for increasing the ripening of Atlantic salt herring]. Tr. PINRO, 18, 161-173 [in Russian]. Leon de S. P., 1994. Studies for preservation of sardine in brine. Mem. Fac. Fish. Hokkaido Univ. 41(2), 1-104. Leon de S. P., Inoue N., Shinano H., 1993. Shelf life of sardine during immersed storage in brine at 15oC, and the brine bacterial flora. Bull. Jpn. Soc. Sci. Fish. 59, 1183-1188. Lujipen A. F. M. G., 1959. De invoed van het kaken op de rijpeing van gezouten maatjesharing. [The influence of gibbing on the ripening of maatjes cured herring]. Thesis, Drukkerij Schotanus & Jens – Ultrecht [in Dutch]. Makinodan Y., Akasaka T., Toyohara H., Ikeda S., 1982. Purification and properties of carp muscle cathepsin D. J. Food Sci. 47, 647-652. Makinodan Y., Ikeda S., 1971. Studies on fish muscle protease-5. On the existence of cathepsins A, B and C. Bull. Jpn. Soc. Sci. Fish. 37, 1002-1006. Makinodan Y., Toyohara H., Ikeda S., 1984. Comparison of muscle proteinase activity among fish species. Comp. Biochem. Physiol. 79B, 129-134. Meyer V., 1965. Marinades, In Fish as Food, Edited by G Borgstrom. (ed.) Academic Press, New York. McLay R., 1980. Activities of cathepsins A and D in cod muscle. J. Sci. Food Agric. 31, 1050-1054. McLay R., Pirie R., 1971. Development if marinated herring. J. Food. Techol. 6, 29-38. Noda M., Vo Van T., Kasakabe I., Murakami K., 1982. Substrate specificity and salt inhibition of five proteinases isolated from the pyloric caeca and stomach of sardine. Agric. Biol. Chem. 46, 1565-1569. Podeszewski Z., Jasińska M., 1974. Wpływ wybranych czynników fizykochemicznych na aktywno¶ć katepsyn mię¶niowych ¶ledzia bałtyckiego [Effects of some physicochemical factors on activity of the muscle cathepsins in Baltic herring]. Przem Spoż. 29 (11), 311-313 [in Polish]. Reddi P. K., Constantinides S. M., Dymsza H. A., 1972. Catheptic activity of fish muscle. J. Food Sci. 37, 643-648. Ritskes T. M., 1971. Artificial ripening of maatjes-cured herring with the aid of proteolytic enzyme preparations. Fish. Bull. 69, 647-654. Ruiter A., 1972. Substitution of proteases in the enzyme ripening of herring. Ann. Technol. Agric. 21, 547-550. Shenderjuk V. I., 1976. Proizvodstvo slabosoljenoj ryby [Mildly salted fish production]. Pishh. Prom. Moskva. Sherekar S. V., Doke S. N., Gore M. S., Ninjoor V., 1986. Proteinases of tropical fish and their role in autolysis. Indian J. Exp. Biol. 24, 440-444. Shimomura M., Matsumoto J. J., 1985. Changes in texture and proteins during acid-salt curing of mackerel meat. Bull. Japan. Soc. Sci. Fish. 51, 583-591. Sluckaja T. N., 1991. Sozrevanije solenych ryb [Maturation of salted fish]. Rybn. Khaz. 7, 70-73 [in Russian]. Tappel A., 1977. Cellular degradation of protein. In Food Proteins, J. R. Whitaker and S. R. Tannenbaum eds. Avi Publ Company, Inc. Westport, Connecticut. Truscott B., Hoagland P. L., 1955. White specks in vinegar-cured herring. Can. Fish. Res. Board Progr. Rep. Atlantic Coast. Stas. 61, 12-13. Tülsner M., 1978. Die bestimmenden stifflichen Veranderungen im Fisch beim Salzen und Marinieren. Lebensmittelindustrie 25(4), 169-173 [in German].
Edward Kołakowski, Bożena Bednarczyk
Department of Food Science and Technology
Agricultural University of Szczecin, Poland
Kazimierza Królewicza 4, 71-550 Szczecin, Poland
ph (+48 91) 42 50 431
fax (+48 91) 42 31 347
e-mail: ekolakowski@tz.ar.szczecin.pl
Responses to this article, comments are invited and should be submitted within three months of the publication of the article. If accepted for publication, they will be published in the chapter headed ‘Discussions’ in each series and hyperlinked to the article.









