Volume 6
Issue 1
Agronomy
JOURNAL OF
POLISH
AGRICULTURAL
UNIVERSITIES
, EJPAU 6(1), #04.
Available Online: http://www.ejpau.media.pl/volume6/issue1/agronomy/art-04.html
CULTIVAR-RELATED AND AGRONOMIC CONDITIONS OF RYE YIELDING ON GOOD RYE SOIL SUITABILITY COMPLEX
Wojciech S. Budzyński, Krzysztof J. Jankowski, Władysław Szempliński
The article presents the response of an open pollinated cultivar ‘Warko’ and a hybrid cultivar ‘Esprit’ of winter rye grown on good rye soil suitability complex to delayed sowing date, NPK fertilisation levels, fertilisation with microelements and weed control. The experiment was established in a half replication kn-1 type design. The hybrid cultivar ‘Esprit’ produced yields that were on average 18% higher than those obtained from the open pollinated cultivar ‘Warko’. Delaying the date of sowing by two weeks decreased the winter rye yields by about 10%. The response of both cultivars of rye to the sowing date was identical. The effectiveness of yield increase under the influence of the maximum fertilisation rate was higher for the open pollination cultivar ‘Warko’. Chemical weed control of rye saved 0.24 t grain per ha. The yield of winter rye was determined by the number of ears per 1 m2 and 1000 seed weight. However, the contribution of these two grain yield componen
Key words:
winter rye, cultivar, date of sowing, NPK fertilisation, microelement fertilisation, weed control, grain yield, yield components.
INTRODUCTION
Admittedly, cultivar progress observed in rye, attained mainly by using hybrid forms (F1), is quite impressive. It was not until a few years ago that rye hybrids became a cultivated crop: German hybrids were introduced in 1995, and the Polish ones followed in 1998. Eight new hybrid forms have been registered over the past five years (4 Polish and 4 foreign). Their potential yields can exceed those of open-pollination forms by up to 20 per cent [1,3].
Neither Polish nor foreign crossbred cultivars have been thoroughly tested in terms of their response to habitat conditions and agronomic techniques. Cereal producers see open-pollination rye cultivars as a crop suitable for extensive technologies. This is reflected by small use of seed material, lack of phytophage control and small scale of chemical weed control [16]. Some studies, however, indicate that rye yielding is associated with the level of agronomic culture, soil quality and intensity of farming, which is confirmed by high values of simple correlation coefficients of the above factors with the total yields of cereals [18]. Hybrid forms can exceed open-pollination cultivars in their requirements pertaining to cultivation [1,11,12,13,22,23,25]. Among some disadvantages of rye hybrids are their higher vulnerability to lodging and inferior healthiness [3,15]. These traits can suggest that hybrid forms should be cultivated using retardants [22] and fungicides [15,21]. In practice, grow ing hybrid cultivars may be hampered due to the fact that seed material, which is expensive because of the breeding methods of hybrids, must be replaced annually. The costs of producing hybrid cultivars can be partially reduced owing to a lower sowing density norm compared to that for open-pollination forms.
Although the share of hybrid cultivars in the total rye fields was a mere 6% in 2001 [1], it can be expected that with their high yielding potential as well as good milling and baking value of grain [8], these cultivars will play an increasing role in large-scale rye production [25].
The working hypothesis underlying this paper assumed that there was some interaction between the type of a cultivar (open-pollination ‘Warko’ and hybrid ‘Esprit’) with the level of agronomic practice measured by the sowing date, macro- and microelement fertilisation and type of weed control. It was hypothesised that the hybrid form, characterised by higher yielding potential, would respond to a higher level of agronomic practices with a higher yield increment than the open-pollination cultivar.
MATERIAL AND METHODS
Field trials were conducted in the years 1999-2002, at the Bałcyny Production and Experiment Station, which belongs to the Olsztyn University of Warmia and Mazury. The experiment was set in a half replication kn-1 type design, where k stands for the number of levels of an experimental factor and n means the number of factors. The experiment involved 5 agronomic factors, each tested at two levels (25-1), in two replications (Table 1).
The trials were localised on typical grey-brown podzolic soil, soil valuation class V, of good rye complex. The soil was characterised by acid reaction (pH 4.4-4.8 in 1 M KCl), high phosphorus, low potassium and medium magnesium contents. It contained 1.43 – 1.62% of humus (Table 2).
| Table 1. Experimental factors and their levels |
|
Factor |
Lower level ‘0’ |
Higher level ‘1’ |
|
Sowing date (A) |
September 25-30 (late) |
September 10-15 (optimum) |
|
Cultivar (B) |
population (‘Warko’) |
hybrid (‘Esprit’) |
|
NPK fertilisation in kg·ha-1 (C) |
½ optimum dose |
optimum dose |
|
Microelement fertilisation (D) |
without |
Insol 3 |
|
Weed control (E) |
without |
isoproturon 1000 g·ha-1 (autumn) |
| Table 2. Environment characteristics |
|
Specification |
Vegetation period |
||
|
1999/2000 |
2000/2001 |
2001/2002 |
|
|
Soil type |
grey brown podzolic soil |
||
|
Soil species |
poor loamy sand |
||
|
Humus content, % |
1.43 |
1.43 |
1.62 |
|
Soil pH (1 M KCl) |
4.70 |
4.40 |
4.8 |
|
Soil valuation class |
R-V |
||
|
Soil suitability complex |
good rye |
||
|
Content of nutrients, mg · 100g-1 of soil: |
|||
|
P |
7.2 |
6.2 |
7.4 |
|
K |
8.3 |
6.6 |
10 |
|
Mg |
5.5 |
4.0 |
4.7 |
Rye was grown on a field after winter triticale. Phosphorus and potassium fertilisers were applied before sowing (the rates of the elements are presented in the elemental form). Nitrogen fertilisers at a NPK level determined as optimum were applied twice: 50 kg·ha-1 in early spring and 30 kg·ha-1 in the third internode phase. At the ‘0’ level nitrogen was applied once at the beginning of spring vegetation period. The weight of sown seeds was estimated according to the seed material quality parameters with seed density of 350 germinating grain per 1 m2. Plants were protected against pathogenic fungi by pre-sowing seed dressing using Baytan Universal 19.5 WS (triadimenol, imazail, fuberydazol). Foliar fertiliser Insol 3 (composed of 13.6% N, 4% Mg, 1.2% Fe, 1.68% Mn, 1.12% Zn, 0.56% Cu, 0.28% B and 0.01% Mo) was applied at 0.8 dm3·ha-1 at the beginning of earing (phase 51 according to Zadoks). The area of a plot to ha rvest was 13.2 m2.
The agricultural evaluation of the yield involved the basic measurements of the number of productive ears, number of grains per ear and 1000 seed weight. The grain yield was given at 14% moisture content.
The design of the trial in a field (randomisation of factors) and the principles for drawing conclusions were adapted from Box et al. [2] and Oktaba [24]. The statistical elaboration of the results was based on the analysis of variance of fractional factor experiment kn-1 type [10].
For the synthesis of the results, the model of analysis included variability of years and respective I and II order interactions. Due to some limitation of half replication designs, estimated effects of the III and higher order interactions were included into the error variability. Test F was used for the estimation of significance of main and interaction errors. The values of the test function Femp from analyses of variance of the analysed traits are presented in Table 3.
| Table 3. Values of test function Femp. from variance analysis of the winter rye traits analysed |
|
Source of variation |
Grain yield |
1000 grain weight |
Number of grains per ear |
Number of ears per 1 m2 |
|
Year (L) |
349.18** |
365.40** |
12.04** |
9.48** |
|
Sowing date (A) |
37.25** |
13.56** |
<1 |
7.29** |
|
Cultivar (B) |
116.64** |
5.52* |
18.51** |
1.27 |
|
NPK fertilisation (C) |
104.94** |
11.08** |
1.81 |
<1 |
|
Microelement fertilisation (D) |
<1 |
<1 |
1.34 |
<1 |
|
Weed control (E) |
13.38** |
<1 |
<1 |
1.01 |
|
L × A |
50.97** |
8.05** |
2.20 |
11.81** |
|
L × B |
16.05** |
16.78** |
1.41 |
1.67 |
|
L × C |
4.43* |
<1 |
<1 |
1.25 |
|
L × D |
1.19 |
<1 |
<1 |
2.26 |
|
L × E |
1.94 |
2.74 |
<1 |
<1 |
|
A × B |
2.84 |
<1 |
<1 |
<1 |
|
A × C |
<1 |
<1 |
<1 |
1.40 |
|
A × D |
6.60* |
<1 |
<1 |
<1 |
|
A × E |
2.91 |
1.43 |
<1 |
<1 |
|
B × C |
7.22* |
4.24* |
2.48 |
<1 |
|
B × D |
1.43 |
<1 |
<1 |
3.17 |
|
B × E |
<1 |
<1 |
<1 |
2.79 |
|
C × D |
<1 |
<1 |
<1 |
1.92 |
|
C × E |
1.62 |
<1 |
<1 |
6.66** |
|
D × E |
<1 |
<1 |
<1 |
<1 |
|
L × A × B |
1.06 |
<1 |
<1 |
3.17 |
|
L × A × C |
<1 |
<1 |
<1 |
2.69 |
|
L × A × D |
<1 |
1.23 |
<1 |
<1 |
|
L × A × E |
2.51 |
<1 |
<1 |
<1 |
|
L × B × C |
3.92* |
<1 |
<1 |
<1 |
|
L × B × D |
4.37* |
1.92 |
<1 |
2.62 |
|
L × B × E |
<1 |
<1 |
<1 |
<1 |
|
L × C × D |
<1 |
<1 |
1.55 |
<1 |
|
L × C × E |
<1 |
2.19 |
<1 |
1.31 |
|
L × D × E |
1.06 |
<1 |
<1 |
<1 |
|
Error mean square |
0.15 |
1.64 |
35.96 |
3414.52 |
| * significant at a = 0.05; ** significant at a = 0.01 |
Classic methods of correlation, simple and multiple regression were used to estimate the interactions between the seed yield and yield components, while the structure of this interaction was evaluated using path analysis [9,17]. Analysis of variance, correlation and regression were computed using the software package STATISTICA®, while path analysis was conducted with the help of the software application transcribed in the publication of IdĽkowska et al. [14]. The other computations were performed using EXCEL®.
RESULTS AND DISCUSSION
Agro-meteorological conditions
The most favourable temperature for the autumnal growth and development of rye should remain at 7-8.3°C with the total precipitation of 48 mm per month [7]. In the first cycle of present studies, the rainfall was 8% lower than the optimum, in the second cycle, due to a period of drought in October, it was 27% below the optimum, and in the third year it surpassed the optimum amount by 40%. During the autumnal vegetation the temperature recorded was 3-4°C higher than the optimum. During the wintertime dormancy the total precipitation ranged from 25.2 to 41 mm per month.
As Dzieżyc et al. [7] claim, the optimum amount of precipitation between April and July for rye grown on light soil should reach 251 mm, distributed as follows: 34 mm in April, 60 mm in May, 84 mm in June and 73 mm in July. During experiment, the total rainfall equalled 76% (the first cycle of the research) to 103% (the second cycle) of the optimum total, with very uneven distribution. In the first cycle of the studies, the total amount of precipitation of April, May and June was much below the optimum amounts, but in July it was 43% higher than the optimum. In the second cycle of the trials, the total precipitation was 42-48% lower in June and May, in contrast to April and especially July, which were very wet (the total rainfall in April was 28% higher and in July 85% higher than the optimum amount). In the third cycle of the research the most acute shortage of moisture in soil was observed in April (29% of the optimum rainfall) and in July (59%). The precipitation in June was 14% and in M ay 50% higher relative to the optimum water requirements.
Response of winter rye to the level of agronomic factors
The yields of winter rye grown on good rye soil suitability complex ranged from 3.19 to 5.27 t·ha-1 (Table 4). Four of the agronomic factors analysed significantly differentiated the yield of grain: date of sowing, cultivar, NPK fertilisation and weed control. The date of winter rye sowing delayed by 15 days from the optimum date resulted in the grain yield being reduced by an average of 0.40 t·ha-1 (10%) (Fig. 1). Higher yields of rye sown in the optimum time can be attributed mainly to an improved number of ears per 1 m2 (10% increment). It should be emphasised that a higher number of productive ears had a negative effect on the 1000 grain weight, decreasing it by about 3%.
| Table 4. Effect of agronomic factors on yield and yield structure components (mean from three years) |
|
Factor and level |
Grain yield |
Number of ears per 1 m2 |
Number of grains per ear |
1000 grain weight, g |
|||||
|
Year (L) |
2000 |
4.66 |
298 |
39.3 |
41.2 |
||||
|
2001 |
3.19 |
315 |
43.2 |
33.3 |
|||||
|
2002 |
5.27 |
360 |
35.9 |
34.2 |
|||||
|
Sowing date (A) |
0 |
4.18 |
308 |
39.8 |
36.7 |
||||
|
1 |
4.58 |
340 |
39.1 |
35.7 |
|||||
|
Cultivar (B) |
0 |
4.02 |
331 |
36.8 |
35.9 |
||||
|
1 |
4.73 |
317 |
42.1 |
36.5 |
|||||
|
NPK fertilisation (C) |
0 |
4.04 |
330 |
38.6 |
35.8 |
||||
|
1 |
4.72 |
318 |
40.3 |
36.6 |
|||||
|
Microelement fertilisation (D) |
0 |
4.36 |
326 |
40.2 |
36.3 |
||||
|
1 |
4.40 |
322 |
38.8 |
36.1 |
|||||
|
Weed control (E) |
0 |
4.26 |
330 |
38.9 |
36.1 |
||||
|
1 |
4.50 |
318 |
40.0 |
36.3 |
|||||
|
Factors significantly differentiating the trait analysed |
L**, A**, B**, C**, E** |
L**, A** |
L **, B** |
L**, A**, B*, C** |
|||||
| 0 – lower level of agronomic factor; 1 – higher |
| Fig. 1. Winter rye grain yield increase as an effect of the higher level (‘1’) of the agronomic factors (level ‘0’ = 100%) |
![]() |
The response to delayed date of sowing was significantly differentiated by the climatic and environmental conditions (significant interaction of years and date of sowing). A negative response of rye (decrease in yield) to a postponed date of sowing was noticeable in the 1st and 3rd year of the trials. It was only in the year 2001 when delayed sowing turned out to be more favourable owing to a very long autumn season (Table 5). Earlier studies conducted by Ku¶ and Jończyk [19] suggest that different sowing dates of rye (from early to late September) did not have a significantly differentiating effect on yields produced by this crop. The results obtained by Grabiński and Mazurek [12] are contrary – a 10-day delay in sowing resulted in an 8% decrease in yield, a 20-day delay caused a decrease reaching 43%. This decline was caused by the negative effect of late sowing on the number of ears in a field and number of grains per ear [12]. Ku¶ and Jończyk [20] reported that the response of rye to date of sowing was significantly correlated with climatic conditions. In years characterised by large shortages of rainfall prior to sowing it was even possible to obtain an increase in yield (about 10%) by postponing the date of sowing by 10 days.
| Table 5. Effect of some agronomic factors on winter rye grain yields over the years of the experiment (factor x year interaction) |
|
Factor and level |
Year (L) |
|||
|
2000 |
2001 |
2002 |
||
|
Sowing date (A)** |
0 |
4.15 |
3.45 |
4.92 |
|
1 |
5.18 |
2.93 |
5.63 |
|
|
Cultivar (B)** |
0 |
4.34 |
3.05 |
4.67 |
|
1 |
4.99 |
3.34 |
5.88 |
|
|
NPK fertilisation (C)* |
0 |
4.31 |
2.98 |
4.83 |
|
1 |
5.02 |
3.40 |
5.72 |
|
|
Microelement fertilisation (D) ns |
0 |
4.70 |
3.11 |
5.26 |
|
1 |
4.63 |
3.28 |
5.29 |
|
|
Weed control (E) ns |
0 |
4.64 |
3.04 |
5.10 |
|
1 |
4.69 |
3.35 |
5.45 |
|
| 0 – lower level of agronomic factor; 1 – higher level of agronomic factor * significant at a = 0.05; ** significant at a = 0.01; ns – non-significant difference |
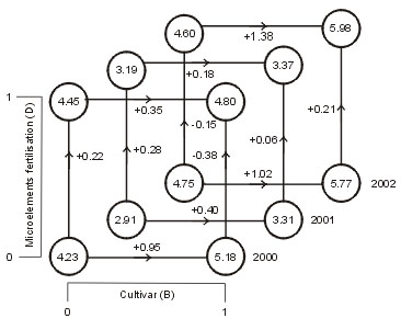
In the present experiments a significant interaction occurred between the date of sowing and microelements fertilisation. The positive role of microelements applied to leaves in yield production (yield increase of 0.022 t·ha-1) was seen only when rye was sown on the optimum date (Fig. 2).
Yield levels of the two types of winter rye differed. The hybrid ‘Esprit’ produced on average 18% higher yields than the open pollination cultivar ‘Warko’. It was only in the year with unfavourable temperature and precipitation during the time of earing and flowering (2001) that the difference in the yields of the hybrid and open pollination cultivar did not exceed 10%. The higher yield produced by the hybrid compared to the open pollination cultivar was mainly attributable to a higher number of grains per ear (by 14.4%) and superior (by 2%) grain robustness. Hybrid varieties producing 9-12% higher yields compared to open pollinated varieties were also reported by Maciorowski et al. [23] and Anonim [1]. Experimental data indicate that the number of productive ears and number of grains per ear are the prime traits of hybrid cultivars conditioning their yields [23].
| Fig. 2. Winter rye yield (t · ha-1) as an affect of the interaction: date of sowing (A) x microelement fertilisation (D) and cultivar (B) x NPK fertilisation (C) |
![]() |
![]() |
Productivity of the two different forms of winter rye depended on the level of NPK fertilisation. As the NPK rate rose (from 88 to 176 kg·ha-1) the difference in yield between the two rye cultivars diminished. This may be indicative of a more efficient use of larger fertiliser rates by the open pollinated form. The efficiency of 1 kg NPK increment was 9.8 kg grain for ‘Warko’ and 5.7 kg for ‘Esprit’. A weak response of the hybrid to macroelements fertilisation became particularly visible in the second year of the experiment (Fig. 3). The response of both forms of winter rye to microelement fertilisation varied from year to year (L × B × D interaction). In the first and second year of studies the open pollination cultivar showed a more favourable response to the application of microelements, unlike in the third year of the trials, when the hybrid reacted better to microelements fertilisation.
| Fig. 3. Winter rye yield (t · ha-1) as an affect of the interaction: years (L) x cultivar (B) x NPK fertilisation (C) and years (L) x cultivar (B) x microelement fertilisation (D) |
| a) | b) |
![]() |
![]() |
In the studies conducted by Ku¶ and Jończyk [19] and by Szempliński et al. [27] fertilisation of rye with microelements did not cause an increase in grain yields. Lack of difference in yield was a consequence of the fact that this factor did not differentiate the yield structure components. Diminishing the 176 kg NPK rate by half caused an average decrease in grain yield by 17% (i.e. by 0.68 t·ha-1). Such yield volumes resulted mainly from lower 1000 grain weights and a tendency to set fewer grains in the ear. Noteworthy is the fact that the effectiveness of NPK rates was highly differentiated in the years of the experiment (a 1 kg increment of the NPK rate caused an increase in grain yield by 8-10 kg in the 1st and 3rd year, but only by 5 kg in the 2nd year). Dmowski [6] obtained the highest grain yields at the NPK fertilisation level of 300-350 kg (100-120 kg of N, 60-80 kg of P2O5 and 80-100 kg of K2O). D ecreasing the NPK rate below 200 kg·ha-1 triggered a decline in grain yield by 18%. In the trials carried out by Szempliński et al. [27], a decrease in the NPK level to the half of the optimum rate caused a decrease in grain yield by 15-16%. Higher yields of this crop obtained with better mineral nourishment, especially nitrogen fertilisation, were also reported by Grabiński and Mazurek [13], Chrzanowska-Drożdż and Liszewski [4] and by Gleń and Szempliński [8].
Chemical weed control added an average 0.24 t·ha-1, i.e. 6% of grain yield compared to rye fields grown without chemical treatments. A relatively low effectiveness of chemical weed control on winter rye fields confirms that rye is highly competitive towards weeds [5]. An exception to this observation is rye grown in two or more consecutive years, which is at risk of being infested by Apera spica-venti L. and noxious dicotyledonous weeds. Such rye plantations require application of herbicides, which can improve the yield of grain by about 15% [3]. Viola arvensis L., Matricaria indora L., Stellaria media L. and Myosotis arvensis L. were the dominant weed species in fields of rye grown on soils of good rye soil suitability complex at the Bałcyny Station. The share of these species in the total number of weeds (55-92 plants per 1 m2) reached up to 90%.
Relationship between yielding and yield components
The contribution of yield components to the formation of grain yield can be expressed with simple and multiple regression. Analysis of path coefficients, which is a particular form of interpretation of multiple regression, reflects cause and effect relationships between independent variables (yield components) and the dependent variable (grain yield per area unit). The data shown in Fig. 4 prove a weak negative simple correlation between yield components of rye grown on light soil. This means that an increment in one of the yield components causes a decrease in another component (e.g. an increase in the number of ears per plot causes a decrease in the number of grains per ear and 1000 grain weight). Low values of the coefficients of the simple correlation between particular yield components suggest that their contribution to the creation of grain yield is nearly independent. This proves that it is hardly possible for one yield component to compensate yield when another y ield component attains low values due to some abiotic or biotic reasons.
| Fig. 4. Diagram of the path coefficients of the components conditioning the winter rye grain yield |
![]() |
The analysis of path coefficients proves that the yield of winter rye grown on light soil was highly significantly correlated with two traits: number of ears per 1 m2 (Py1 = 0.4178) and 1000 grain weight (Py3 = 0.4269). In the light of the above, the equation of multiple regression for the grain yield of winter rye, following the standardisation of variables, appears as follows: y = 0.4178x1 - 0.1159x2 + 0.4269x3. The value of the phenotypic correlation coefficient of the number of ears per 1 m2 with the yield (0.3152) was slightly smaller than the direct effect of this trait (0.4178) (Fig. 4, Table 6). This was due to a negative indirect effect of the number of ears on 1000 grain weight. A similar relationship occurred for 1000 grain weight – the direct effect of this trait on the grain yield was weakened by the negative indirect effect of the number of ears per 1 m2<
/SUP>.
Yield components Indirect effect of Phenotypic correlation with grain yield X1 X2 X3 Number of ears per 1 m2 (X1) – 0.0283 -0.1309 0.3152** Number of grains per ear (X2) -0.1019 – -0.0296 -0.2474* 1000 grain weight (X3) -0.1281 0.0080 – 0.3068** A high share of the residual variation (Pe = 0.8418) and thereby a small value of the determination coefficient (R2 = 29.1%) suggest that apart from random factors the yield of rye may have been affected by other (not included in the analysis) morphometric traits of the plants. Rozbicki [26] claims that by including a larger number of variables in the path analysis it could be possible to achieve a more precise determination of the grain yield. Therefore, additional path analysis was conducted in this study concerning some agronomic factors (A, B, C, D, E) and their levels (‘0’, ‘1’). Higher than average (R2 = 29%) determination coefficients were obtained for higher fertilisation level (‘1’) for the following factors: date of sowing (A), cultivar (B), optimum NPK fertilisation level (C) and chemical weed control (E) (Table 7).
Factor and level Residual variation (Pe) Determination coefficient (R2) Sowing date (A)
0 0.9874 2.50 1 0.7583 42.5 Cultivar (B)
0 0.8803 22.5 1 0.7810 39.0 NPK fertilisation (C)
0 0.8837 21.9 1 0.8173 33.2 Microelement fertilisation (D)
0 0.8501 27.6 1 0.8815 22.3 Weed control (E)
0 0.8637 25.4 1 0.8099 34.4 Yield component X1 X2 X3 Phenotypic correlation with grain yield Optimum sowing date (A1) Number of ears per 1 m2 (X1) 0.3221* 0.0427 0.0598 0.4246** Number of grains per ear (X2) -0.1319 -0.1043 0.0082 -0.2280 1000 grain weight (X3) 0.0388 -0.0017 0.4962** 0.5333** Esprit (B1) Number of ears per 1 m2 (X1) 0.4093** 0.0455 -0.0314 0.4234** Number of grains per ear (X2) -0.0635 -0.2936* -0.0916 -0.4487** 1000 grain weight (X3) -0.0484 0.1013 0.2656 0.3185* 176 kg·ha-1 NPK fertilisation (C1) Number of ears per 1 m2 (X1) 0.3812* 0.0466 -0.0378 0.3900* Number of grains per ear (X2) -0.0754 -0.2354 -0.0448 -0.3556* 1000 grain weight (X3) -0.0449 0.0329 0.3210* 0.3090* Weed control (E1) Number of ears per 1 m2 (X1) 0.5384** -0.0689 -0.1201 0.3494* Number of grains per ear (X2) -0.1253 0.2962* -0.0175 0.1534 1000 grain weight (X3) -0.1522 -0.0122 0.4249** 0.2605 Table 8 presents direct and indirect effects of the main yield components in a factor-related design, for which determination coefficients exceeded 29%. The analysis of path coefficients proves that the yield obtained under the conditions of optimum sowing (A1) was positively correlated with the number of ears per 1 m2 and 1000 grain weight. This is suggested by high positive values of phenotype correlation with yield and relatively low values of indirect effects. The grain yield of the hybrid cultivar ‘Esprit’ was significantly correlated with all the three yield components. However, it should be stressed that the value of the phenotypic correlation between the number of grains per ear and yield was negative (-0.45). The negative value of this coefficient was due to the addition of the negative direct effect of this trait on yield as well as to negative indirect effects of the other yield components. A similar set of relationships between the analysed eleme
nts of the yield structure and the grain yield was observed in the rye fertilised with the optimum NPK rate.
The grain yield of rye weeded chemically was directly correlated with all the elements of yield structure (y = 0.5384x1 + 0.2962x2 + 0.4249x3). The direct effect of the yield components on yield was weakened by negative indirect effects. Consequently, the phenotypic correlation coefficients of the yield structure were lower than their indirect effects.
CONCLUSIONS On poor soil (good rye soil suitability complex) the hybrid rye ‘Esprit’ produced 18% higher grain yields than the open pollination ‘Warko’. Delaying the date of sowing by two weeks caused a decrease in the yield of winter rye by an average 10%. The response of both rye forms to the date of sowing was comparable. Both cultivars produced significantly higher yields when fertilised with 176 kg·ha-1 NPK. Characteristically, the effectiveness of yield improvement under the effect of the lower fertilisation level was superior in case of the open pollination ‘Warko’. Reduction of the fertilisation level by half caused a greater decrease in yield in the open pollination cultivar rather than in the hybrid form. Chemical weed control saved only 0.24 t grain per ha. This proves that both breeding forms of rye are highly competitive towards segetal plants. Yielding of winter rye grown on good rye soil suitability complex was determined by the number of ears per 1 m2 and 1000 grain weight. Nevertheless, it must be underlined that the contribution of either of the two components to the creation of grain yield was independent from the other (non-significant value of the simple correlation coefficient between the content of rye field and 1000 grain weight). REFERENCES
Anonim, 2002. Lista opisowa odmian – ro¶liny rolnicze [Descriptive cultivars list – agricultural crops]. COBORU Słupia Wielka [in Polish]. Box G.E.P., Hunter W.G., Hunter J.S., 1978. Statistics for experimenters. John Wiley & Sons. Budzyński W., 2001. Czynniki ograniczaj±ce plonowanie żyta [Factors limiting rye yielding]. Pam. Puł. 128, 25-37 [in Polish]. Chrzanowska-Drożdż B., Liszewski M., 1995. Wpływ jako¶ci przedplonu i nawożenia mineralnego na plonowanie żyta [Effect of forecrop quality and mineral fertilisation on rye yielding]. Zesz. Nauk. AR Wrocław, Rolnictwo LXIII, 101-108 [in Polish]. Deryło S., Szymankiewicz K., 1998. Wpływ uprawy roli i pielęgnacji na plonowanie i zachwaszczenie żyta ozimego na glebie lekkiej [Effect of tillage and cultivation on winter rye yielding and weed infestation on light soil]. Biul. IHAR 205-206, 101-108 [in Polish]. Dmowski Z., 1993. Wpływ rejonu uprawy, gleby i agrotechniki na plonowanie żyta i pszenicy ozimej [Effect of plantation region, soil and agronomic practises on rye and winter wheat]. Zesz. Nauk. AR Wrocław, Rolnictwo, Rozpr. hab. 114, 1-63 [in Polish]. Dzieżyc J., Nowak L., Panek K., 1987. Dekadowe wskaĽniki potrzeb opadowych ro¶lin uprawnych w Polsce [Decade indices of precipitation requirements by crops in Poland]. Zesz. Probl. Post. Nauk Roln. 314, 35-48 [in Polish]. Gleń A., Szempliński W., 2001. Nawożenie azotem a plonowanie i warto¶ć technologiczna ziarna żyta mieszańcowego i populacyjnego [Rye fertilisation with nitrogen and hybrid and open population rye cultivars grain yield and its technological value]. Pam. Puł. 120, 83-89 [in Polish]. Gołaszewski J., Puzio-IdĽkowska M., 1996. Analiza ¶cieżkowa w ocenie współzależno¶ci niektórych komponentów plonu nasion grochopeluszki [Path analysis in evaluating the correlation between fodder pea seed yield components]. Biul. IHAR 200, 317-322 [in Polish]. Gołaszewski J., Szempliński W., 1998. Do¶wiadczenie czynnikowe ułamkowe jako narzędzie badawcze w opracowaniu technologii uprawy ro¶lin rolniczych [Factorial fractional experiment as a research tool in developing agricultural crops cultivation technologies]. Rocz. Nauk Roln. 133 A (1-2), 77-93 [in Polish]. Grabiński J., Mazurek J., 1995a. Plonowanie i struktura plonu nowych rodów żyta w zależno¶ci od gęsto¶ci siewu [Yielding and yield structure of new rye strains depending on the sowing density]. Biul. IHAR 195/196, 329-331 [in Polish]. Grabiński J., Mazurek J., 1995b. Plonowanie i struktura plonu nowych odmian żyta w warunkach różnych terminów siewu [Yielding and yield structure of new rye cultivars for various sowing dates]. Biul. IHAR 195/196, 337-340 [in Polish]. Grabiński J., Mazurek J., 1995c. Reakcja nowych rodów żyta na nawożenie azotem [Reaction of new rye strains to nitrogen fertilisation]. Biul. IHAR 195/196, 333-335 [in Polish]. IdĽkowska M., Gołaszewski J., Koczowska I., Grabowski S., 1993. Analiza współczynników ¶cieżek u żyta ozimego (Secale cereale L.). Cz. II. Analiza współczynników ¶cieżek w ocenie współzależno¶ci cech determinuj±cych masę ziarna z ro¶liny [Analysis of path coefficients in winter rye (Secale cereale L.). Part II. Analysis of path coefficients in evaluating the correlation of characteristics determining the grain weight per plant]. Acta Acad. Agric. Tech. Olst., Agricultura 56, 25-30 [in Polish]. Jańczak C., 2001. Choroby li¶ci i ĽdĽbeł żyta mieszańcowego i skuteczno¶ć ich zwalczania [Hybrid rye leaf and culm diseases and their control effectiveness]. Pam. Puł. 120, 115-124 [in Polish]. Jędrzejczak E., Rudnicki F., 2001. Glebowo-płodozmianowe aspekty uprawy żyta w gospodarstwach rolnych na Kujawach i Pomorzu [Soil- and crop-rotation-related aspects of rye cultivation on farms of the Kujawy and Pomorze Regions]. Pam. Puł. 120, 125-131 [in Polish]. Konys L., Wi¶niewski P., 1984. Analiza ¶cieżkowa w układach przyczynowo-skutkowych [Path analysis in cause and effect relationships]. Rocz. AR w Poznaniu CLIII, Algor. biometr. i statyst. 1, 37-54 [in Polish]. Ku¶ J., Filipiak K., 2001. Regionalne zróżnicowanie uprawy żyta ozimego w Polsce [Regional variation in winter rye cultivation in Poland]. Pam. Puł. 120, 156-166 [in Polish]. Ku¶ J., Jończyk K., 1993. Ocena działania siedmiu czynników agrotechnicznych na plonowanie żyta [Evaluating the effect of seven agronomic factors on rye yielding]. Fragm. Agron. 4, 77-78 [in Polish]. Ku¶ J., Jończyk K., 1998. Oddziaływanie wybranych czynników agrotechnicznych na plonowanie żyta [Effect of selected agronomic factors on rye yielding]. Pam. Puł. 113, 61-71 [in Polish]. Ku¶ J., Mróz A., 2001. Wpływ chemicznego zwalczania chorób na plonowanie żyta [Effect of chemical disease control on rye yielding]. Pam. Puł. 120, 168-172 [in Polish]. Maciorowski R., Piech M., Stankowski S., 2000a. Reakcja odmian żyta mieszańcowego i populacyjnego na nawożenie azotem i regulator wzrostu [Reaction of hybrid and population rye cultivars to nitrogen fertilisation and growth regulator]. Biul. IHAR 215, 109-128 [in Polish]. Maciorowski R., Stankowski S., Piech M., Szołkowski A., Brukwiński W., 2000b. Reakcja odmian żyta mieszańcowego i populacyjnego na zmniejszenie ilo¶ci wysiewu [Reaction of hybrid and population rye cultivars to decreasing sowing rates]. Biul. IHAR 215, 99-107 [in Polish]. Oktaba W., 1980. Metody statystyki matematycznej w do¶wiadczalnictwie [Methods of mathematical statistics in experimentation]. PWN Warszawa [in Polish]. Piech M., Maciorowski R., 2000. Rola czynników agrotechnicznych w uprawie odmian żyta mieszańcowego [Role of agronomic factors in the cultivation of hybrid rye cultivars]. Wie¶ Jutra 6, 34-35 [in Polish]. Rozbicki J., 1997. Agrotechniczne uwarunkowania wzrostu, rozwoju i plonowania pszenżyta ozimego [Agronomic conditions of winter triticale growth, development and yielding]. Fundacja Rozwój SGGW Warszawa [in Polish]. Szempliński W., Szulc J., Budzyński W., 2001. Reakcja żyta na czynniki agrotechniczne [Reaction of rye to agronomic factors]. Pam. Puł. 120, 241-246 [in Polish]. Responses to this article, comments are invited and should be submitted within three months of the publication of the article. If accepted for publication, they will be published in the chapter headed ‘Discussions’ in each series and hyperlinked to the article.
Table 6. Indirect effects of winter rye yield components
Table 7. Value of residual variation (Pe) and determination coefficient (R2)
0 – lower level of agronomic factor; 1 – higher level of agronomic factor
Table 8. Direct and indirect effects of winter rye yield structure components for the factors and levels
* significant effects at a = 0.05; ** significant at a = 0.01
direct effects, the other effects were indirect
Wojciech S. Budzyński, Krzysztof J. Jankowski, Władysław Szempliński
Department of Crop Production
University of Warmia and Mazury in Olsztyn
Oczapowskiego 8/116, 10-728 Olsztyn
e-mail: wojbud@uwm.edu.pl (Wojciech S. Budzyński)
jankow@uwm.edu.pl (Krzysztof J. Jankowski)





